THE ITHACA PAPERS

DEREK DILLON'S UNPUBLISHED ARTICLES



Toward a General Theory of Process©
(circa May of 1977)

DOUGLAS A. PAINE
WILLIAM L. PENSINGER

(Suggestion for McIntosh users: Using Virtual PC
with IBM-platform browsers will insure
text-embedded math symbols are read properly.)


1: Introduction
The general form of hierarchically organized processes is a puzzling problem which has increasingly gained the attention of leading theorists in many fields of scientific thought. This problem is most often approached from the point of view of general systems theory. Any general model which is developed in this manner is later mapped back on specific disciplines to test its usefulness.

The present paper, however, has grown out of the reverse procedure. In attempting to deal with the problem of scale interactions leading to tornadic vortices in the Earth’s atmosphere, we have been led to a consideration of the general properties of hierarchically organized processes. The nature of our starting point has suggested a dynamic treatment, and in order to develop a truly general approach, we have felt it necessary to deal with the framework in terms of its fundamental spacetime aspect. Accordingly, our presentation will come to focus upon the interaction of time with space, as we elaborate upon how this interaction may be seen to generate form.

2: The Cascade Concept
To simulate a tornado numerically, a set of nonlinear differential equations is solved simultaneously upon the Cartesian framework of x,y,z-space integrated with respect to time. The nested grid system displayed in Figure 1, actually used to solve the finite-difference form of this equation set, will in itself provide an organizational framework for sorting out the apparent complexities of the four-dimensional solution.

We begin by writing in Table I the necessary and sufficient conservation equations for the seven “primitive” dependent variables capable of describing lower atmospheric dynamics. We see that conservation of momentum (Eqs 1-3) is broken into its three components of east-west (u), north-south (v), and vertical velocities (w) which we are able to detail upon the x,y,z-coordinate frame. This is followed by statements for the conservation of mass (Eq 4) expressed in terms of the variable density (r), the conservation of energy (Eq 5, where T º temperature), and the conservation of moisture (Eq 6, where Q º mixing ratio). All six equations were originally formulated by Lewis F. Richardson in 1922.1 The seventh equality of this primitive equation (PE) set is the familiar ideal gas law, which defines the seventh dependent variable, pressure (p), in terms of the density, temperature, and the universal gas constant, R. Two other constants of considerable importance in consideration of tropospheric dynamics, appearing within the PE set, are f, the Coriolis parameter defining the Earth’s component of spin, which is latitudinally dependent, plus the gravitational acceleration (g). The vertical variation of both g (which includes a centrifugal effect) and the Coriolis effect (l) may be dropped provided we restrict our solution to the scale height of the troposphere.

In context of considering the wave phenomena obtained by the simultaneous solutions of the PE set, it will prove helpful to distinguish three classes of horizontal waves which appear as harmonics of the scale distance between the Earth’s poles and its equator: 10,000 or 104 kilometers. Macroscale wavelengths from 104 km to 103 km are distinguished by negligible horizontal and vertical accelerations
(du/dt = dv/dt = dw/dt = 0); mesoscale meteorological waves, whose wavelengths vary from less than 103 km to 10 km, have increasing horizontal accelerations and vertical velocities, but negligible vertical accelerations; microscale weather phenomena, such as thunderstorms and tornadoes, have horizontal dimensions of less than 10 km and are composed of appreciable horizontal, as well as vertical, accelerations. Lack of accelerations within the first wave class is sometimes termed a (quasi-) geostrophic state, indicating an apparent balance between the mass and momentum fields. Mesoscale phenomena are termed ageostrophic, while remaining hydrostatic, to contrast the appearance of horizontal accelerations in a fluid still lacking important vertical accelerations. Microscale phenomena are fully accelerational and, therefore, both ageostrophic and non-hydrostatic.

This terminology and distinction of three basic scales is suggestive of our emerging conception of tornado genesis. Following Prandtl’s fundamental description of turbulence,2 we begin with the premise that macroscale momentum sources drive microscale momentum sinks by evolving intermediate or mesoscale processes. This point of view implies that macroscale data sets contain information about the evolution and structure of smaller-scale phenomena, which may be numerically simulated -- provided the governing equation set remains unfiltered with regard to accelerations (and, more elaborately, time rates of change of acceleration).

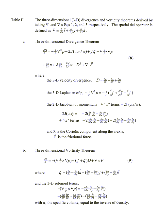
Before detailing how the concept of a cascade of kinetic energy and concentration of vorticity through the hydrodynamic spectrum may be used to numerically predict the location and intensity of a tornado from larger scale data sets, it will be helpful to derive two fundamental theorems from the Navier-Stokes conservation of momentum equations listed in Table I. The resultant divergence and vorticity theorems will provide a more sophisticated way to approach the dynamics whose simplest expression is found within the u, v, and w-momentum equations.

We first take the spatial del operator and dot it with the vector forms of Eqs 1-3, obtaining the three-dimensional divergence theorem (Eq 8) listed in Table II. By then taking the spatial del operator crossed into Eqs 1-3, the complementing three-dimensional vorticity theorem (Eq 9) is derived. Both theorems are valid in the coordinate frame of the original PE set (x,y,z-space). The first theorem evaluates the role of expansion-contraction within the fluid atmosphere, while the latter evaluates the role of spin. Both the total time tendencies of divergence and relative vorticity force surfaces of constant momentum, density, energy, moisture, and pressure to change with respect to time. Employment of either theorem enables scientists to gauge the influences of acceleration-deceleration within an atmospheric fluid. Thus, whereas meteorology as a young science was initially concerned only with the unchanging form of the surfaces associated with these fundamental conservative quantities advected by the atmospheric velocity field, this decade has marked increasing research into the role of acceleration, which results in form forming, that is, the time rate of change of form of equipotential surfaces (inducing topological changes in the connectivity of the involved equipotential surfaces). We speculate that the role of acceleration changing with respect to time, which results in form informing (topological changes in the orientability of equipotential surfaces), will be of increasing interest to meteorology in the next decade. These concepts will be elaborated upon in later sections when we re-define the del operator to include time’s active operations on space (surfaces and volumes).

We are now in a position to detail the cascade process using the nine equations listed in Tables I and II. By separating the nine spatial advection of momentum terms from the three respective pressure gradient terms, as shown in Table I, we find that there is a repeating sequence of events which link any initial macroscale imbalance (excess of kinetic energy) to its eventual sink at the microscale. Prior to a family outbreak of tornadoes, such as those which occurred during April of 1974 or 1965 over the central United States, it is found that the term -vu/y becomes excessive in the shearing flow paralleling an unusually strong, mid-tropospheric jet core. As the westerly momentum gradient along the y-axis is advected by southerly winds around the base of the low pressure trough, the resultant positive local time tendency of
u-momentum is further accentuated by the growth of an isallobaric westerly wind. The term “isallobaric” refers to the acceleration of a fluid resulting from the time rate of change of pressure. In this case, an isallobaric wind resulted when more dense air was simultaneously advected around the base of the trough, thus increasing the eastward-directed pressure gradient which accelerates the westerly flow. We call these initial steps of the cascade process “Phase 1”, which ends with a maximization of -uu/x, a maximization, that is, of u-gradient along the x-axis, advected by westerly momentum.

This sequence, repeating itself over and over, of an initial momentum perturbation (or excess of kinetic energy) at a given scale length triggering a pressure or mass perturbation at a still smaller scale length, lies at the heart of the cascade process. Viewed from the divergence theorem (Eq 8), the total time tendency of momentum convergence at successively smaller scale lengths is found to originate from the interplay and appropriate phasing of the mass and momentum fields, as diagnosed through the Lapacian of pressure and Jacobian of momentum terms, respectively -- the diagnostic process being viewed as a read on the formation of singularities in, and multiple connections between, equipotential surfaces: form forming. As analyzed through the vorticity theorem (Eq 9), the resultant concentration of vorticity into smaller and smaller scale lengths is found to originate with factors described by the solenoid term (-ÑaxÑr), the result being seen by taking the curl of the respective pressure gradient terms in the u, v, and w-momentum equations: form informing.

As indicated by the arrows drawn diagonally across Eqs 1-3 in Table I, the maximization of -vv/y (Phase 2), and then -ww/z (Phase 3), follow in sequence as each step is aided by the same isallobaric acceleration organized by the respective pressure gradient terms. We might call this acceleration through the spacetime domain of atmospheric dynamics an “Archimedean buoyancy factor” which progressively negates the roles of l, f, and g in establishing containment of energy within this heuristically-closed limited-spacetime-domain (the overall “shape” of the reading-emergent-singularities-type diagnostic cycle -- form [limiting velocity], form forming [limiting acceleration], form informing [limiting time rate of change of acceleration] -- being a relativistic-quantal “domain structure” scaled to limiting values of dynamic variables defining the limited-spacetime-domain of atmospheric physics). Each step is captured by the respective Laplacian and Jacobian terms within the complete divergence theorem, plus the respective components of the solenoid term, listed in Table II, acting within the complete vorticity theorem.

We have found that the fundamental organizing mechanisms of the cascade process may be summarized by the following statements:

  1. An excessive amount of kinetic energy, represented as divergent advection of momentum (diagnosing formation of singularities in equipotential surfaces) results in mass and vorticity convergence along the x-axis, triggering an east-west pressure gradient.

  2. The acceleration resulting from the enhanced east-west pressure gradient, in turn, yields an excessive amount of kinetic energy, represented as divergent advection of momentum, but now expressed in the v-momentum profile along the y-axis, resulting in mass and vorticity convergence along the y-axis, triggering a north-south pressure gradient.

  3. This sequence is then repeated once more as a further acceleration of the flow resulting from the enhanced north-south pressure gradient affects the w-momentum profile along the z-axis, converging mass and vorticity along the z-axis in the vertical.

These three phases complete the acceleration cycle, as a kinematic divergence-driven pressure gradient overwhelms the normal hydrostatic determination of the pressure field. The final z-axis perturbational pressure gradient is also aided by the divergent hyper-advection of dense fluid (cold air) over the planetary boundary layer flow, causing the explosive growth of forced convection when the vertical differential of density goes to zero. The details of this sophisticated transfer of kinetic energy and concentration of vorticity, reaching criticality at the microscale, are more fully elaborated by Kaplan and Paine.3

3: An Example of the Cascade Process
To help visualize this sequence, we have selected an occurrence of intense convective activity which developed over the northeastern United States on 28 January 1977. At 1200 Greenwich Mean Time (GMT), we find an excess amount of kinetic energy at the macroscale, represented by 55 m s-1and 60 m s-1 wind barbs plotted over Omaha, Nebraska and Peoria, Illinois, as observed by radiosondes and analyzed upon the
500 mb surface (Figure 2). This constant pressure (i.e., equipotential) surface is near 5 km within the mid-troposphere, where temperatures as cold as -44°C are recorded. Directly beneath this zone at 850 mb (@1.3 km), the same soundings by weather balloons observed the unusually strong advection of dense arctic air from the northwest. (Note the temperatures of -26°C and -28°C at Omaha and Peoria plotted in Figure 2.) It has been shown (see the above mentioned reference 3, Kaplan and Paine, 1977) that such simultaneous momentum plus mass convergence quickly develops amplifying mesoscale pressure features. In the present case, this was diagnosed as a surface ridge of high pressure which reached its maximum amplitude over western New York State nine hours later, at 2100 GMT, as shown in Figure 3. The isallobaric tendency computed between 1500 and 1800 GMT caused an appreciable acceleration of westerly momentum within the planetary boundary layer as surface winds gusted to 32.5 m s-1 at Niagara Falls at 1800 GMT. In the wind-driven snow, zero visibility resulted. The deceleration of westerly momentum in the region of maximum pressure falls further augmented the convergence of air along the line of zero pressure change, resulting in a narrow zone of intensifying ascent. The east-west orientation of this zero isopleth along the western tip of Lake Ontario gives further evidence of the superposition of zones of convergence, because it was generated simultaneously with the north-south pressure gradient maximization along the y-axis.

Figures 4a-c show the resultant pressure traces acquired from increasingly sensitive barograph arrays situated in Ithaca, New York. The lower trace, recorded upon a chart drum which rotates only once every eight days, detects primarily the macroscale pressure wave generated by the amplifying cyclone which passed to the north of New York State with a central pressure of 982 mb at 2100 GMT. The middle trace, captured by a microbarograph drum rotating once every 27 hours, expands the detail of the rapid pressure rise which occurred as the mesoridge advanced across central New York. Of special interest is the “sawtooth” effect recorded near 2100 GMT: this same anomaly was seen as a mere “spike” of higher pressure upon the eight-day clock-driven device. An even more sensitive barogram, recorded by Cornell’s Neurobiological Behavior Laboratory, resolves the aforementioned “sawtooth” and “spike” traces into an acoustic-gravity-wave train centered on 2102 GMT. (The Lab uses this high-frequency pressure chamber to study the sensitivity of some species of migratory birds to infrasound.4) The amplitude of the event was found to be 125 decibels, an amplitude so large that, fortunately, this infrasound, with a period of 2.8 minutes per cycle at a frequency of .006 Hertz, occurred well outside man’s range of hearing. The simultaneous time-lapse filming of the outside weather by Cornell’s Division of Atmospheric Sciences revealed that the acoustic wave pattern was synchronous with the observed changing intensity of an ongoing snowsquall, varying between heavy (visibility 1/16th mile) to moderate precipitation. It is inferred that this squall, lasting over the history of the infrasound signature, was the result of coherent (wave) convective activity organized during the final phases of the cascade process.

Fundamentally, the cascade is a crisis founded upon the concentration of kinetic energy and vorticity within ever decreasing spatial and temporal dimensions. It is likewise a crisis of mass densification, as the concentrated core of dense fluid heads toward a type of gravitational collapse within the hydrodynamic spectrum. Indeed, with the descriptions afforded by the u, v, and w-momentum topographies, it can be seen that a parallel topographical collapse is occurring, wherein the frequency of the ensuing waveform transcends the limited-spacetime-domain of atmospheric dynamics. This means that the physics of the ongoing process must be measured in fractions of Hertz and fractions of kilometers, where an acoustic phenomenon (infrasound) emerges as the dominant waveform . It is this varying “song”, played polyphonically upon the fixed acoustic-wave signatures of local landforms, which Cornell’s Neurobiological Behavior Laboratory has recently demonstrated that homing pigeons use for local navigation. Acoustic waves, viewed from this perspective, are the shorthand notation for enfolding three-dimensional divergence and three-dimensional vorticity going to singularity and being forced to “propagate” without sufficient spatial “room” to allow for a continuing angular momentum cascade.

This being the case, we are called upon to re-define space and time as the elemental dependent variables necessary for outlining the essence of the scale interaction process. We, therefore, do away with the seven dependent variables of the previous equation set and derive an even more basic set founded upon the fundamental premise that time actively operates on space to generate form. This premise, we believe, will eventually be experimentally evaluated within the tornado’s spacetime-gate architectonics, where acoustically-modified gravity-wave modes ripple the walls of this cosmic vortex which interfaces hydro-thermodynamics with electrodynamics, plasma physics, relativistic-quantum fields, and quite likely processes of fusion and particle creation.

4: Spacetime Del Operator and Temporal Curl

We note from Eq 9 that the total time rate of change of of relative vorticity (z ) is forced by the three-dimensional solenoid, divergence and curl of friction terms when the analytic perspective remains embedded within a particular spatial atmospheric volume defined by the x,y,z-coordinate system. However, from the aforegiven description of the cascade process, we have found that an additional degree of freedom must be available to this system in order for it to escape an otherwise inevitable infinite concentration of vorticity, kinetic energy, and mass within its finite spatial volume. The traditional view has been that friction would literally dissipate such a problem. But we have seen empirical evidence, such as that offered in the previous section, which suggests that natural systems have a far more elegant solution to the problem: i.e., the generation of coherent (acoustic) waves, which originate from the cascade of kinetic energy through the hydrodynamic spectrum.

To mathematically codify this point of view, we add a gradient in time to the traditional gradients in space to define a first order spacetime del operator:


Note that appears as an imaginary unit vector along with the familiar unit vectors aligned with their respective spatial gradients in x,y,z-space. It will also prove useful to distinguish between the geostrophic velocity state in which the mass and momentum fields exist in a state of balance, versus the ageostrophic velocity state in which an imbalance of the mass and momentum fields becomes manifest during the isallobaric phases of the cascade process. From the determinant employing the positive branch of the 1st order temporal derivative:


we expand to separate the spatial and temporal curls,


then solve for the spin (kth) components of both curls:


A similar solution to the above determinant is obtained by exchanging the geostrophic and ageostrophic velocity components while using the negative branch of the 1st order temporal derivative:


The positive versus negative branches serve to distinguish between the simultaneous downward (toward shorter wavelengths) versus upward (toward longer wavelengths) aspects of the cascade process, respectively.

The final result appearing as a set of acoustic wave equations is obtained by equating the spatial and temporal curls from the determinant solutions expressed in D1 and D2:


Eq 11a states that if all of the rotation in the geostrophic plane manifested during a period of mass and momentum balance were absorbed at its axis of spin, there would be a corresponding local change (acceleration) experienced in the ageostrophic velocity field weighted by the coefficient +1/c. A parallel expression in Eq 11b states that if all the rotation in the ageostrophic plane manifested during a period of mass and momentum imbalance were absorbed at its axis of spin, there would be a local change (acceleration) experienced within the geostrophic velocity field, weighted by -1/c.

The temporal curl has been invoked to describe a 90° twist in the spatial axis of rotation, as depicted in Figure 5, where it is noted that both the positive (+1/c) and negative (-1/c) branches follow the right-hand rule. This massless and incompressible system defined by the spacetime del operator, i.e., devoid of the solenoid and divergence expressions, gives an interpretation of local velocity changes evaluated as to whether they contribute to, or detract from, a state of mass-momentum balance. The active role of time in Eqs 11a and 11b replaces the role of the summation of forces described in Newton’s second law.

If we now set the divergence of the two vector fields equal to zero, this mathematically closes each field, while allowing kinetic energy and momentum to be exchanged through time between the geostrophic and ageostrophic velocity fields.


5: Atmospheric Analogue to Maxwell’s Equations
The equations which we have derived for studying atmospheric motions in the absence of external friction are dependent upon two vector fields. Likewise, Maxwell wrote mathematically similar expressions for the relationship between the magnetic and electric field intensities in empty space:


Eqs 13a and 13b state that the divergence of both the magnetic and electric field strengths are equal to zero in the absence of conductors and free space charges; Eqs 13c and 13d elaborate upon the nature of discharge between magnetic and electric fields. Specifically, if curl is absorbed at a mathematical singularity, there will result a local change with respect to time of weighted by +1/c. Likewise, if curl is absorbed at a mathematical singularity, there will result a local change with respect to time of , weighted by -1/c.

The units of c in both sets of equations governing atmospheric and electromagnetic fields are those of speed (cm s-1), where the former c is determined by units of acceleration divided by rotation. As suggested by the parallelism with the appearance of c in both sets of equations, the “atmospheric c” is the absolute limiting phase speed for those waves which accomplish the most efficient transfer of energy and momentum within the atmosphere's “closed” dynamic regime. In the electromagnetic system, c is the speed of light, the coefficient which permits the changeover between units of electrodynamics and electrostatics. In the atmospheric set of equations, c is once again a limiting or absolute speed (of much smaller magnitude than the speed of light) which serves an identical role in the crossover between hydrodynamics and hydrostatics. Thus, our system compares favorably with Maxwell’s mathematical description of an idealized fluid, incompressible and without mass, which is subject to a species of (internal) friction evoked to explain the relationship between electric and magnetic fields.

Before proceeding further, it seems appropriate that we pause a moment and reflect upon this curious path of interconnections traced out by the history of science. In a manner reminiscent of Euler’s topological studies of connectedness, we are finding that the bridgework to seemingly diverse disciplines of the physical sciences is built upon the concept of solenoid intensity. One scientist we know of, Iraundegui, published details from his dissertation in 1952 which asserted that the fundamental relationships between such diverse areas as electromagnetic theory, acoustic and atmospheric dynamics, and the physics of viscous fluids could all be interrelated through the abstract vehicle of solenoid physics tied to a potential vorticity theorem.5 This latter theorem of Ertel.6 was, in turn, drawn from Bjerknes’ (1898) classic work on solenoid intensity as it related to the atmosphere’s time rate of change of circulation: in short, the solution to a specialized problem concerning atmospheric cyclogenesis was adapted from Kelvin’s more general circulation theorem.

Even more fascinating, it appears that what began as an exploration into the analogue between sound and electromagnetic waves is now being re-investigated in context of the coherent radiation of energy known to accompany tornadic storms. For it was Faraday who conceived of electromagnetic induction after having spent the spring and summer of 1831 experimenting with dust patterns created on plates by the propagation of acoustic waves across his laboratory.7 Every student of physics is familiar with Faraday’s electric ring experiment which came on August 29, 1831, i.e., the (solenoidal) windings of a current-carrying wire around an iron bar which indicated that the principle of induction was as valid between electric and magnetic fields as Faraday had observed in the acoustic generation of patterns on plates separated by an atmospheric medium. Of this, Faraday came to express in his subsequent correspondences to Maxwell that a field represents “space carrying a strain”, an idea which Maxwell put to a mathematical test in his (1856) paper entitled “On Faraday’s Lines of Force”.8 In this paper, Maxwell conceived a hydrodynamic model to explain electric and magnetic field interaction. It was Maxwell’s intuitive use of a hydrodynamic vortex model leading to the development of a field concept which first suggested to the present authors that one would be able to use the electromagnetic field concept to develop a more general explanation of the dynamics of atmospheric vortex formation.

6: A Sample Calculation Employing Maxwellian Atmospheric Dynamics
To illustrate the utilization of Eqs 11a and 11b applied to severe storm dynamics, we have selected two key diagrams from an extensive study of a rotating cluster of squalls which originated over Lake Erie on 4 November 1967. 9

Figure 6 shows a mesolow (L) tracking east-southeast from Lake Erie at a forward speed of 30 m s-1, preceded by an anomalous pressure increase of +7 mb above the prevailing macroscale pattern. The surface streamline analysis drawn from the observed wind field shows a mesocyclonic circulation located beneath the rotating cluster of squalls, preceded by an anticyclonic outflow point. Surface divergence values diagnosed upon a 42 km grid equaled +10-4 s-1 over the clockwise swirl; convergence (stipple pattern) on the order of -10-4 s-1 and a cyclonic vorticity maximum were found centered over the mesolow.

The life cycle of the mesolow entailed the contraction of macroscale, kth-component cyclonic vorticity and its eventual redistribution as ith, jth-components of spin over western New York and Pennsylvania at the end of the 5-hour time span. Mesoscale gravity waves were found to originate at the perimeter of the rotating cluster of squalls. These manifestations of horizontal components of spin were traced southward into the Ohio Valley utilizing a microbarograph array and radiosonde observations. The latter detected the undulations of an inversion plus prominent changes in the temperature-dewpoint lapse rates as each wave crest and trough passed four observational sites.

Eq 11a dictates that the observed absorption of +5 x 10-5 s-1 units of macroscale
kth-component spin over a 5-hr period must yield ageostrophic velocities of nearly
27 m s-1 at the end of this time span. The 30 m s-1 value of c necessary for this calculation was obtained by setting the speed of the mesoscale wave source (i.e., rotating convective cluster) equal to the observed forward speed of the mesolow. A 26.5 m s-1 ageostrophic wind vector confirming this theoretical prediction was calculated from the Huntington, West Virginia hodograph prepared from radiosonde wind data observed near the termination or breaking point of the mesoscale wave phenomena. Farther aloft, as depicted in the same hodograph of wind speed and direction versus height, a momentum shelf was simultaneously established where vertically propagating, acoustically-modified (coherent) gravity waves deposited their momentum to accelerate the geostrophic flow. This occurred near the 6 km level where the wave trace velocity of 26.5 m s-1 equaled the undisturbed background speed of the geostrophic flow. (The wave trace velocity is a product of the mesoscale wavelength of 160 km multiplied by the wave frequency of 1.64 x 10-4 s-1 emitted from the rotating cluster of squalls). Eq 11b indicates that the reappearance of cyclonic shear vorticity in the geostrophic plane parallel to the newly established momentum shelf was achieved through a commensurate deceleration of the ageostrophic flow field during the 5-hour period of the severe storm.

Figure 7 shows schematically how the nearly horizontal or geostrophic track of an air parcel undergoes progressively increased ageostrophic undulations as it becomes part of the mesoscale wave phenomena in its approach to the rotating convective cluster. (Reiss and Corona have published a photograph obtained during an investigation of a Kelvin-Helmholtz billow cloud which gives graphic evidence of interlaced sinusoids, apparently created from the intertwining of helical trajectories and suggestive of the action of an underlying spacetime double helix.) Upon reaching the squalls’ perimeter, the parcels become elements of a roll cloud. As viewed from the perspective of cascade theory, this prominent feature of many rotating squall clusters which breed tornadoes represents the development of purely ith, jth-components of spin at the expense of the macroscale cyclonic spin. A further cascade from the mesoscale horizontal components of spin would yield short-lived, intense microscale vortices of intense kth-component spin.

7: Topological Connectivity and the Cascade Concept
We have seen that the specific vector fields and serve to describe the essential features of the cascade process. The spacetime curl -- which, clearly, under the right circumstances, takes on a double-helical aspect the probability amplitude interpretation of Schrödinger’s wave equation mistakenly implies would simply dissipate into a “probability fog” -- inherent in the reciprocal exchange between these vector fields is the fundamental transport mechanism of the cascade. This transport mechanism provides the means by which macroscale momentum drives microscale processes. Viewed from a spacetime perspective, however, it would be more accurate to say that the spacetime curl causes a complex self-reentry process to occur within the atmospheric spacetime domain. It is this self-reentry process that we will attempt to describe in this section.

We commence by recognizing additional distinctions to be drawn in spacetime. We see from the column entitled “Primary Concepts” in Table III that we are able to take two mathematical steps beyond the description afforded in Eqs 11a and 11b, reproduced here as Eqs 14a and 14b:


This first pair of equations serves to define the fundamental role of a limiting velocity (c) which is absolute only with reference to a particular limited spacetime domain (LSTD). A limited spacetime domain is a scale level of a hierarchically organized process. To formally describe the roles of the second and third order derivatives with respect to time, we define a second order spacetime del operator:


and third order spacetime del operator:


composed of second and third order temporal derivatives multiplied by a limiting acceleration (c') and a limiting time rate of change of acceleration (c"), respectively.

If we return to the determinant described in Eq 10a and replace the positive and negative branches of the first order temporal derivative with , we obtain two additional equations by equating the spatial curl to the resultant second order temporal curl:


If we now return again to the determinant described in Eq 10a and substitute , we obtain two additional equations by equating the spatial curl to the third order temporal curl:


In order to interpret this triad of equation sets, we have added Figures 8a and 8b to the schematic already offered in Figure 5. Recall that Figure 5 served to illustrate the twisting axes of spin achieved along a particular direction in time (Eqs 14a and 14b). Eqs 14c and 14d deal with acceleration, with, that is, form changing its configuration. To aid in understanding these latter two equations, we note that for any given LSTD we can find its appropriate c,11, 12 and because we can choose these domains as small as we like, in the limit, the graded hierarchy of scale levels becomes a continuum and the values of c vary over a continuous range. As a continuum, c' is comprised of the discrete steps of c, represented by:


This allowance for an additional right-angled twist to the already twisting axes of spin, as shown in Figure 8a, is a step beyond traditional relativity theory which remains hinged to a specific LSTD (i.e., that LSTD defined in terms of the Planck length and the cosmological limit, and which is not based in a notion of modular spacetime) and is therefore unable to explore in detail the interpenetrations of a finite set of LSTDs. In Eqs 14c and 14d:

  1. There is a hierarchy of c-s, probably represented as a linear function when ln c is plotted against the order of magnitude increases between LSTDs. This is suggested by the prevalence of natural logarithmic distributions governing material systems. Thus, by way of illustration in the atmospheric dynamic just considered,


    serves to define a new absolute limit (c2) valid for the acoustic wave spectrum. Therefore, while the acoustically-modified gravity waves described in Section 6 remain trapped within the LSTD of tropospheric dynamics, the pure acoustic modes, which exist as a multivalued aspect of c, are free to propagate vertically toward the ionosphere, accounting for the replication of the cascade process observed above tornadic storms.13, 14

  2. Any given c is seen as an absolute only with regard to its LSTD, while the continuum aspect of c' argues for the relativism of these absolutes.

We therefore conclude that it is more fundamental as a problem in physics to study c' than any given c. This suggests that we recognize a formal new discipline in physics designed to study the multiply-connected interpenetration of LSTDs, versus that which seeks to understand any specific LSTD. This interpenetration is the underlying explanation for the mathematically demonstrated power of analogy: all of science is continually engaged in cross-referencing activities between LSTDs.

Finally, to interpret Eqs 14e and 14f we offer Figure 8b. This last pair of equations deals with the time rate of change of acceleration, or what we choose to call form informing. In this case,


Here there is a hierarchy of c'-s, each of which is, in turn, composed of a hierarchy of c-s. While c' is absolute in a finite set of LSTDs, it remains relative in a transfinite set of LSTDs. Further investigations of this property may involve applications of non-Cantorian set theory as developed by Paul Cohen.15

On the basis of the foregoing analysis, we have distinguished three separate perspectives from which to view a given process: (1) from within a given LSTD; (2) from the point of view of the relations between a finite set of LSTDs; (3) from the perspective of the interpenetration of a transfinite set of LSTDs arising through the process of self-reentry. Singularities can come into view within each of these perspectives as a result of the operations of the temporal curl. Figure 8b represents what we call a primal singularity, a point at which space simultaneously re-enters and re-emerges from itself. This primal singularity is an absolute singularity, which arises as the result of the interpenetration of a transfinite set of LSTDs. Singularities arising as a result of interaction between a finite set of LSTDs are relative to that finite set. Singularities arising in a given LSTD are relative to that domain and have no effective existence from a larger perspective.

8: Non-Equilibrium Thermodynamics of Complex Angular Momentum Cascade
In recent years, thermodynamic theory has received new impetus from the studies of Glansdorff and Prigogine16 into the field of non-equilibrium thermodynamics. The cascade concept suggests a similar approach and in this section we will discuss those similarities. Non-equilibrium thermodynamics considers open systems which exchange entropy with their environment. The theory has evolved mainly through studies in the biological sciences. But as we shall see, its fundamental principles are equally applicable to cascade theory.

It has been found that order is destroyed near thermodynamic equilibrium and that the creation of order occurs far from equilibrium outside the region of stability. In the words of I. Prigogine:17

The main idea is the possibility that a prebiological system may evolve through a whole succession of transitions leading to a hierarchy of more and more complex and organized states. Such transitions can only arise in nonlinear systems that are maintained far from equilibrium; that is, beyond a certain critical threshold the steady-state regime becomes unstable and the system evolves a new configuration. As a result, if the system is to be able to evolve through successive instabilities, a mechanism must be developed whereby each new transition favors further evolution by increasing the nonlinearity and the distance from equilibrium.

Essentially, this is a theory of phase-transitions between stable states. The phrase “order through fluctuations” is used to characterize these phase-transitions.

This point of view compares favorably with our growing conception of the function of turbulence in the development of a tornadic vortex. The onset of the cascade is diagnosed by a loss of macroscale equilibrium. Excessive momentum is transported through three phase transitions leading to the cyclogenesis of tornadic vortices. Turbulence, as an increased entropy state, is a necessary precursor to the formation of a more highly organized structural configuration within the hierarchically organized dynamic process of tornado genesis. Moreover, we note that the cascade process is founded upon an entropy exchange between a LSTD and a larger scale domain in which it is embedded, i.e., its environment. (Starr18 in a book entitled The Physics of Negative Viscosity Phenomena identifies this negentropic aspect within complex dynamic systems such as spiral-banded hurricanes and galaxies.) The macroscale of any LSTD re-enters its own structure via the microscale, while simultaneously undergoing the reverse cascade (i.e., the upward cascade mediated by -1/c /t, the negative branch of the temporal curl). This is diagnosed when there is established a critical limit to a local time tendency which, in turn, activates the nonlinear “internal” source/sink terms, which are then coupled to re-entry through the “external” source/sink terms. The simplest conservation statement, consisting of a local time tendency tied to the spatial advection terms, is directly related to the velocity field within this dynamic. Furthermore, we found that the “internal” source/sink terms relate directly to the accelerational field, while the “external” source/sink terms relate directly to the time rate of change of acceleration. The cascade process is, indeed, a mechanism “whereby each new transition favors further evolution by increasing the nonlinearity and the distance from equilibrium”.

Non-equilibrium thermodynamic theory, however, considers only the relations between two LSTDs, an embedding domain and its embedded domain. On the basis of the foregoing analysis of c, c' and c" we wish to consider the relations manifest within an extensive finite set of LSTDs and within a transfinite set of LSTDs. In order to take the first step in that direction, we first note that Einstein's equation E = mc2 has both positive and negative aspects as viewed from the downward versus upward cascade processes, respectively, suggesting two fundamental classes of mass-energy conversion:


Recognizing that the units of E are gm cm 2 s-2, the units of the limiting acceleration c' demand that m' carry units of gm s2:


Likewise, the units of the limiting time rate of change of acceleration c" demand that m" carry units of gm s4,:


Table IV will aid us in interpreting Eqs 15b and 15c, while illustrating the possibility of viewing c from three separate levels expressed as the positive and negative branches of the square root of the ratio between E and m. (Hereafter, we will speak primarily in terms of the positive branch while implicitly recognizing the importance of the negative branch associated with the enfolding reverse cascade process.) In our consideration of the relativity of c, c', and c", it became apparent that there are three distinct perspectives from which to view a given process. Each of these perspectives is matched by a different statement with regard to E = mc2. The symbols m and E designate the usual conception of mass and energy within a LSTD; m' and E' designate the “connective mass-energy” transported between the domains of a finite set of LSTDs; m" and E" designate the “configurational mass-energy” available to a system as a result of the self-reentrant interpenetration of a transfinite set of LSTDs. Eq 15a describes the conversion of mass and energy within a LSTD. Eq 15b describes the conversion of mass and energy between a finite set of LSTDs. Eq 15c describes the conversion of mass and energy as a result of self-reentry.

The usual procedure in dealing with processes that manifest a negentropic development is to allow the negentropic process to grow at the expense of its embedding LSTD. In this manner, the larger system is seen to increase its entropy, while the embedded system's entropy decreases. The only difficulty with this concept is that it does not recognize that any given process can be viewed from all three perspectives outlined above. Depending upon the scale perspective adopted, a system can be viewed as closed, open, or self-reentrant. Every system is simultaneously closed, open, and self-reentrant because it can be validly viewed from any of these three perspectives. The class of LSTD corresponds to the scale perspective adopted, and is defined thereby. We are free to choose whatever perspective we wish depending upon the analytical purposes we have in mind. But the dynamics we discover are relative to the perspective adopted. Any given LSTD is composed of a hierarchy of LSTDs at a smaller scale level. Each of these smaller domains is in turn composed of a hierarchy of smaller scale LSTDs, and so on. In fact, any given LSTD is composed of a denumerable transfinite set of smaller scale LSTDs. Depending upon the scale perspective adopted, we apprehend a given LSTD, a finite set of LSTDs, or a transfinite set of LSTDs. Therefore, it becomes apparent that any given process simultaneously manifests this threefold characteristic and can, therefore, only be adequately described with multivalued propositions.

Three questions immediately arise. How can we understand that a given process manifests a state to which the entropy principle is not applicable? How can any system, especially the system at the scale of the cosmological limit, be self-reentrant? In such a framework, what happens to the conservation of mass and energy? The first two questions will be considered in the next section within the context of multivaluedness. The probable answer to the question regarding conservation is more easily approached: m and E are conserved within a given LSTD; m' and E' are conserved within a finite set of LSTDs; m" and E" are conserved within a transfinite set of LSTDs.

In order to see that these questions should not be relegated solely to the domains of high energy physics and cosmology, we return to our consideration of the relativity of c, c', and c". We have seen that any velocity, acceleration, or time rate of change of acceleration functions as a limiting value, respectively, within some LSTD, within some finite set of LSTDs, or to define the process of some self-reentry due to the interpenetration of a transfinite set of LSTDs. This being the case, we have no alternative but to conclude that the Lorentz-Fitzgerald contraction is operative not only at velocities approaching the speed of light, but at any velocity whatsoever relative to the LSTD for which the given velocity functions as a limit. (See “The Hydrodynamic Analogy to E = mc2 ”, written by Starr11, for a discussion of Lorentz-Fitzgerald contraction as it relates to gravity waves within a fluid medium.) Furthermore, we must conclude that the quantities c' and c" serve to define the connective and configurational mass-energy (m'-E' and m"-E" respectively) available to the process of forming which the cascade initiates and carries through self-reentry. The self-reentry process involves changes of connectivity which occur at all limiting accelerations and a change from orientability to non-orientability which occurs at all limiting time rates of change of acceleration (see Table III). We will return to these questions when, in the next section, we further consider the concept of self-reentry.

Returning again to Table IV, we note that the column with the heading “Domain” equates spacetime, superspace, and the pregeometry with the three separate perspectives we have outlined. The spacetime designation requires no elaboration. Superspace and the pregeometry are concepts developed by J. A. Wheeler of Princeton University.19,20. The pregeometry will be discussed in Section 10. Superspace provides the natural context within which to study the primed quantities. These quantities are concerned with the connection of LSTDs and superspace is built upon the interconnection of 3-geometries (3-Gs). The relationship between LSTDs and 3-Gs should be investigated. If it is found that a 3-G can be defined in terms of a LSTD, then we already have available a sophisticated geometrical framework within which to explore the implications of the cascade concept.

Finally, in the context of quantum geometrodynamics, it seems appropriate to discuss some further possibilities suggested by the threefold operations of the temporal curl. The temporal curl interacts with space to generate form. It is a topological operator on space. (In view of the above described theory of process, the work of
N. A. Kozyrev12 takes on quite a considerable significance.) Is it possible that what has been catalogued as an elementary particle is actually a quantum of forming, a quantum of temporal topological operation on space? Is the twistor of Roger Penrose27 actually quantization of temporal curl? The various types of elementary particles may correspond to quantized aspects of temporal topological operations on superspace and find a natural system of classification on that basis. Particles such as the photon and neutrino, while possessing no m, may possess m' or m" and be instrumental in effecting connective mass-energy transport or effecting self-reentry through carrying configurational mass-energy.

9: Multivaluedness, Self-reentry, Non-Orientability, and Hyparxis

In order to further consider the questions raised in the last section, we shall now investigate, on a more basic level, the physics arising from consideration of a multiplicity of limited spacetime domains. The statistical theory of thermodynamics is based primarily upon considerations developed from the perspective of a given LSTD, while the questions we have raised regarding entropy and self-reentrant systems arise in the context of a multiplicity of LSTDs.

In the traditional view of physics, because the work is independent of the path followed between two points A and B, the force and field are considered to be conservative. If the potential is V, then:


where VB - VA has a definite value (i.e., is single-valued) because the field is conservative. Cascade theory, however, suggests that this conservation is relative and restricted to the closed system under consideration. When free interaction between LSTDs is considered, the closed conservation is lost and a higher level of conservation comes into play. The quantities considered under closure, when considered from the multiscaled perspective, lose their single definite values and take on multiple values relative to the spacetime scales from which they are viewed. The larger multiscaled system is non-conservative of closed system quantities and conservative of those quantities characteristic of its own multiscaled framework. Under self-reentry even the multiscaled quantities will not be conserved. From the point of view of self-reentry, only those quantities characteristic of self-reentry itself will be conserved.

If DV = 0 for a certain small path, then the field cannot have a component along this path and must be perpendicular to the direction of such a path. Surfaces over which DV = 0 and V is constant are called equipotential surfaces. Thus, equipotential surfaces and lines-of-force are mutually perpendicular. But when a closed system, wherein DV = 0 , is considered from the perspective of interactions with a finite set of LSTDs, DV¹ 0 from the perspective of all other LSTDs. DV becomes m-valued, some values of which will be nonzero. So, what appears from the perspective of a given LSTD to be an equipotential surface will from other LSTD perspectives no longer be an equipotential surface. In other words, the mutual perpendicularity of equipotential surfaces and lines of force within a given LSTD will no longer, from the multiscaled perspective, be a case of mutual perpendicularity (Figure 9a) .

This modification of equipotential surfaces in the context of a multiscaled framework we have termed “skew-perpendicularity”. (Skew-perpendicularity is a natural extension of J. G. Bennett's concept of skew-parallelism, discussed on pp. 268-274 and 506-509 of volume 1 of his magnum opus.21) On the basis of this skew-perpendicularity a more fundamental description of the self-reentry process may be attained. Figure 9a schematically illustrates this self-reentry process, which results from the multivaluedness inherent in multiscaled processes. Self-reentry is the summed result of the skew-perpendicularity a LSTD undergoes in context of a multiplicity of scale interactions. The sum of skewness a given domain undergoes as a result of interactions with all other domains results in a twisting of the axes of spin and is experienced by that domain as self-reentry. Skewness is a measure of what we call apokrisis, the capability of a structure to maintain its own identity under the influence of multiplicity. According to Bennett.21 : “This word is taken from the Greek verb with the meaning of separation into different levels, as when two heroes stand out from the ordinary ranks of men to do battle together (Cf. Iliad, V. 12).” The degree of skewness is termed the apokritical interval.

When divergence becomes the dominant characteristic in description of a process within a given LSTD, the apokritical interval has become excessive and a “cusp surface”22 comes into being. The LSTD is transiting to an alteration in its identity. This basic structure of catastrophe theory, the cusp surface, arises as a result of skew-perpendicularity and is essentially related to the self-reentry process. The account we have given of tornado genesis is an empirical verification of Rene Thom's theorem which describes the ways in which “discontinuities” can arise in equilibrium surfaces. Each of the seven primitive equations in our initial four dimensional account of the cascade process corresponds to one of the seven elementary catastrophes. The primed and double-primed quantities described earlier are fundamentally related to this process of form informing. Complex states of multiple-connectedness result. It is expected that further investigations of this property will find applications for the recently developed surface-as-measure theory and homotopy theory, and suggest a higher order of universal constants and invariants.

Skew-perpendicularity is at the heart of self-reentrant systems with their non-self-same identity status. A self-reentrant system has attained the apokritical limit in that it manifests the interpenetration of a transfinite set of LSTDs. As a result of the multiple quantal superpositionings of lines-of-force and equipotential surfaces, a species of self-induction sets in as an expression of Lorentz-Fitzgerald contraction occurring at all nested limiting velocities. This self-inductance is the underlying explanation of the lack of entropy status self-reentrant systems manifest, and is the fundamental principle involved in maintenance of a primal singularity.

In order to further pursue this property, we turn to the equation considered in determining the velocity of light and expand upon it relative to our earlier consideration of c, c', and c". In terms of the two constants of proportionality found within the laws of Coulomb (ke) and Ampere (km), the three limiting quantities of c, c', and c" distinguish two additional levels in the units assigned to km. Thus, whereas kmcarries the electrical engineering units of 10-7 m s2 coul-2 in defining the units of the limiting velocity, c:


k'm must carry units of 10-7 m s4 coul-2 in defining the units of the limiting acceleration, c':


and k"m must carry units of 10-7 m s6 coul-2 in defining the units of the limiting time rate of change of acceleration, c":


In the initial derivation of Ampere's law, km was introduced as a constant of proportionality which served to describe the magnetic force between two charges moving in parallel directions. Figure 9b shows how the descriptions of like and opposing charges are obtained by an interpretation of k'm and k"m. We note that incremental changes of km become tangential elements approaching the limit k'm; likewise, incremental changes of k'm become tangential elements approaching the limit k"m. The degree of skew-parallelism (or skew-perpendicularity) is thus directly linked to the definition of an elementary charge, while demonstrating the mathematical principle of finite difference increments which approach their limit in defining a partial derivative. In view of our earlier discussion of m, m' and m", it would appear that a similar relationship exists between these three quantities as well.

Returning now to Figure 9a, we see that as we consider an increasing number of LSTDs, the skew-perpendicularity becomes more and more pronounced and, as a result of the combined effect of the negative and positive aspects of the temporal curl, a change of connectivity takes place. As all LSTDs are constantly undergoing skew-perpendicularity and the modification of lines of force inherent therein, it becomes apparent that charge is the direct result of skew-perpendicularity. Charge becomes the quantum effect of the macroscopic topological operations of the temporal curl on space (likely more precisely, a modular superspace). Moreover, when we go to the transfinite case, recognizing that the positive and negative aspects of the temporal curl transpire not sequentially but simultaneously, the two branches illustrated in Figure 9a become superposed, orientability is lost, and we are left with a primal singularity as portrayed in Figure 8b. The primal singularity is non-orientable and equivalent to a monopole. This formulation compares favorably with the Riemannian concept of charge as “lines of force trapped in the topology of space”.19,20,23

Since, by virtue of multivaluedness, any process can be validly viewed from each of our three perspectives (that of the unprimed, the primed, and the double-primed), we can not escape the conclusion that any given process simultaneously manifests the three distinct entropy states listed in Table IV - depending, of course, upon the perspective from which the process is viewed. Essentially, we have said that entropy is a measure of decrease of multiple-connectedness and that negentropy is a measure of increase of multiple-connectedness (which notion makes thermodynamics a subdiscipline of mathematical topology). Apparently there is some third state (associated with the double-primed quantities) which transcends this binary-logic predicated entropic-negentropic opposition between the simply-connected and the multiply-connected. We have called this state hyparxis, meaning ableness-to-be, and associate it with the pregeometry which will be considered in the next section. (Bennett21 on hyparxis [p.135]: “From the Greek usually translated 'subsistence' or existence, but which originally signified 'ableness-to-be'.”) We note, in conclusion, that the steady-state hypothesis is associated with the perspective of the unprimed quantities, that the perspectives of the catastrophe and chaos theories are associated with the primed quantities, and that self-reentrant hyparxic “subsistence” reconciles these two limited points of view.

10: General Process
In 1950 the science historian L. L. Whyte suggested that the time was rapidly approaching when a general theory of process would become feasible.24,25 Twenty-seven years later we still must say that the time is rapidly approaching. It appears, however, that some considerable progress has been made during that period. The publication of Spencer Brown's (1969) treatise26 certainly marks a considerable advance in that direction. Much important work has also been published on the theory of hierarchical organization as it applies to various types of natural processes. In this final section we will explore the contribution cascade theory can make toward the formulation of a general theory of process.

The cascade is, essentially, an autogenic (i.e., self-generated) discharge of energy which links together the dynamics of a hierarchically organized process. The downward (i.e., toward smaller spacetime scales) cascade is initiated by a loss of macroscale equilibrium. This loss of macroscale equilibrium is the result of the upward
(i.e., toward larger spacetime scales) cascade. Macroscale energy and momentum drive microscale processes, which in turn trigger changes in the macroscale equilibrium state. There is a circularity built into the cascade process, an energy feedback loop. This feedback loop is, however, not a simply-connected process. It is the result of skew-perpendicularity which is, in turn, an expression of the multiply-connected structure of LSTDs. Hyparxis, or self-inductance, is characteristic of this circularity. We might, with J. A. Wheeler, designate the circularity inherent in natural processes as “self-reference”.27

Self-reference manifests itself in the cascade in several different ways. The complex-angular-momentum-driven feedback loop can also be viewed as an information system. As the cascade transports m' and E' through a hierarchy of LSTDs, a replication process transpires. Thus, two field categories, designated by two couplets of opposing spin axes, are matched in varying combinations by the action of the temporal curl: in the atmospheric dynamic, the replication of weather patterns is achieved by varying combinations of the horizontal and vertical components of relative vorticity distinguished by their positive and negative axes of spin. (We further hypothesized in Section 7 that as a result of the cascade within the troposphere, tornadic storms must generate vertically propagating coherent [acoustic] waves which serve to replicate the cascade process within the inonesphere, and which are intimately involved in global ozone metabolism.) This process of spacetime domain replication, coupled with the underlying multivalued framework, constitutes a highly sophisticated system for information circulation. The sophistication results because the structure of the microscale process contains, in its form, essential information concerning the macroscale equilibrium state. The macroscale state, in its form, in turn, contains essential information about microscale processes. This information distribution is directly analogous to the manner in which the information is distributed in a hologram. The entire image contained in a hologram can be reconstructed by illuminating only a small portion of the hologram, and perhaps of equal importance, a whole series of holograms can be superposed one upon another and still be reconstructed individually. This feature of the cascade is characteristic of its multivalued framework. The multivaluedness de-localizes the information contained in the form of any of the component structures of the process and distributes it throughout the whole system. The quantized aspect of the temporal curl (the twistor dynamic described by Roger Penrose?) appears to adhere to the principle of non-locality in its form generating operations.

In order to describe yet another fashion in which self-reference manifests itself in the cascade we must again consider the perspective of the double-primed quantities. This is the perspective we have aligned with the pregeometry. From the point of view of cascade theory, the pregeometry appears as a composite representation of the relations manifest in spacetime and superspace. The pregeometry, in a sense, returns to superspace and spacetime to capture, in its form, the overall or holistic variations manifested in those two lower order domains. The return is accomplished in a manner similar to the other circularities characteristic of the cascade, only this time on a more fundamental level. Initial investigations19 of the pregeometry suggested that the calculus of propositions was a likely candidate, but further consideration rejected this initial conclusion.27 The cascade concept again points to the calculus of propositions: this time, however, to a multivalued calculus of propositions. It is this multivalued framework which allows the pregeometry to capture, in its form, a composite representation of the relations manifest in spacetime and superspace. Spencer Brown, in presenting the calculus of distinctions as underlying Boolean logic, only briefly discussed re-entry26 (see pp.58-64). It is this aspect of his calculus that most particularly stimulated our thought. The present description of the cascade can be viewed as a description of how the temporal curl, through its topological operations, draws a series of distinctions in space to generate form. The circularity implicit in Gödel's theorem is a characteristic aspect of this level of form in process, and is a direct result of the multivalued features of the system, such that one must suspect multivalued functions and propositions lie behind Gödel numbers as “hidden variables” of incompleteness and undecidability, just as skew-perpendicularity clearly lies behind the Heisenberg indeterminacy inequalities.

In searching for a general framework within which these complex interrelations could be fully explored, a number of possibilities have arisen. The most promising idea involves postulating a decomposable multivalued reference space. Essentially, what is required is the concept of an ordering structure, which when operated on in a topological fashion, decomposes into a framework which we can recognize as underlying superspace and spacetime. Such a structure appears to involve taking a multivalued abstract function space into a multi-sheeted single-valued concrete space. In this way of thinking, superspace and spacetime would arise as the result of the decomposition of a multivalued reference space. The single-valued sheets would be bridged after the manner of a Riemann surface -- the bridges being formed at the branch points of the function. But here the emphasis is shifted from the traverse of the variable across the single-valued sheets to the relation of the single-valued sheets to the multivalued reference space. In this regard, each of the single-valued sheets would be designated as being in a scale dependent relation to all other such sheets. The relations manifest on each sheet would then represent some relation structure on a given scale level. The relations manifest in the multivalued reference space would then represent a composite view of the relations manifest on each of its decomposed single-valued sheets. The determined relations in the multivalued reference space would correspond to the pregeometry. The interrelations across sheets would occur in the domain of superspace. The relations that occur on any given sheet would correspond to a structure manifest on a given scale level of spacetime.

Another aspect of the cascade that is relevant to a general theory of process concerns topographical collapse. As the ongoing cascade progresses through the hierarchy of scale levels, it invokes a sequence that involves an initial collapse of topography followed by the formation of a new topographical configuration. This sequence is repeated over and over as the cascade progresses from one level of hierarchy to the next. The terms deautomatization and automatization capture the essential features of the two stages of this repeated sequence. The initial structural configuration is deautomatized by the topological operations of the temporal curl. The state of deautomatization is essentially a state of turbulence which is a necessary prerequisite to the quantal action carrying the process to a more complex structural regime. Once the topography has collapsed to a singularity (the intersection point of the spin axes), automatization sets in and begins to generate a new topographical configuration (through multiple twistings of the axes of spin). This repeating sequence is the manner in which spacetime domain replication proceeds. Since this replication process can be viewed as an information system, it becomes apparent that topographical collapse is essential to efficient information transfer within hierarchically organized processes.

In Section 9, we discussed the formation of a cusp surface as resulting from skew-perpendicularity. The cusp surface is a fundamental aspect of deautomatization and leads inevitably to topographical collapse. Skew-perpendicularity underlies the whole process of form generation and regeneration. We can gain greater insight into the meaning of this by recognizing that skew-perpendicularity speaks directly to Euclid's parallel postulate. It is through skew-parallelism (and implied skew-perpendicularity) that non-Euclidean spacetime geometries are generated. In the evolution of natural processes, single-valued non-Euclidean geometries constantly evolve out of and return to a multivalued flat Euclidean space.

In conclusion, we state our belief that a general theory of process will become possible only when the cascade is fully explored with the sophisticated mathematical tools available. These would minimally include point-set topology, homotopy theory, Teichmueller space, ideal algebraic subrings, surface-as-measure theory, Riemann surfaces, theory of covering surfaces, non-Cantorian set theory, multivalued functions, multivalued propositions, hypernumber arithmetics, fiber bundles, fractals, Grassmann algebras, the catastrophe and chaos theories, the calculus of distinctions, and surely others unknown to us. Certainly no individual is competent in such a wide range of subjects. We, therefore, offer this theory in order to stimulate discussion, while it is tested in whatever fields it may find relevance.

(For further information see: “Four Conversations”.)

REFERENCES

  1. Richardson, L. F. Weather Prediction by Numerical Process. New York: Dover, 1965.
  2. Sutton, O. Atmospheric Turbulence. New York: Wiley, 1955.
  3. Kaplan, M. L. and D. A. Paine. Tenth Conference on Severe Local Storms. Boston: Am. Met. Soc., 1977.
  4. Yodlowski, M., M. Kreithen, and W. Keeton. Nature, 265: 5596, 1977.
  5. Iraundegui, J. Revta. Geofis., 11:43, 1952.
  6. Ertel, H. Met. Z., 59:9, 1942.
  7. Williams, L. P. Michael Faraday. New York: Basic Books, 1965.
  8. Maxwell, J. C. The Scientific Papers of J. Clerk Maxwell. New York: Cambridge, 1952.
  9. Paine, D., J. Zack, J. Moore, and R. Posner. Ninth Conference on Severe Local Storms. Boston: Am. Met. Soc., 1975.
  10. Reiss, N. M. and T. J. Corona. Bull. Am. Met. Soc., 58:2, 1977.
  11. Starr, V. P. Tellus, 9:1, 1959.
  12. Kozyrev, N. A. Possibility of Experimental Study of the Properties of Time. Arlington, Va.: Joint Publications Research Service, 1968.
  13. Hines, C. O. Nature, 239:5367, 1972.
  14. Hung, R. J., R. E. Smith, G. S. West, and B. B. Henson. Ninth Conference on Severe Local Storms. Boston: Am. Met. Soc., 1975.
  15. Cohen, P. J. Set Theory and the Continuum Hypothesis. New York:
    W. A. Benjamin, 1966.
  16. Glansdorff, P. and I. Prigogine. Thermodynamic Theory of Structure, Stability and Fluctuations. New York: Wiley, 1971.
  17. Prigogine, I., G. Nicolis, and A. Babloyantz. Physics Today, 25:11, 1972.
  18. Starr, V. P. The Physics of Negative Viscosity Phenomena. New York: McGraw-Hill, 1968.
  19. Misner, C. W., K. S. Thorne, and J. A. Wheeler. Gravitation. San Francisco: Freeman, 1973.
  20. Zabusky, N. J., ed. Topics in Nonlinear Physics. Munich: NATO, 1966.
  21. Bennett, J. G. The Dramatic Universe, Vol. 1. London: Hodder and Stoughton, 1956.
  22. Thom, R. Structural Stability and Morphogenesis. Reading, Mass:
    W. A. Benjamin, 1975.
  23. Wheeler, J. A. and S. Tilson. Int. Sci. & Technol., No. 24, 1963.
  24. Whyte, L. L. The Next Development in Man. New York: Henry Holt, 1950.
  25. Whyte, L. L. The Unitary Principle in Physics and Biology. London:
    Cresset Press, 1949.
  26. Brown, G. S. Laws of Form. London: George Allen and Unwin, 1969.
  27. Isham, C. J., R. Penrose, and D. W. Sciama, eds. Quantum Gravity. Oxford: Clarendon Press, 1975.

ACKNOWLEDGMENTS

Dr. Michael Kaplan of the NASA-Langley Research Center performed the nested grid computer simulations with the full spectrum, primitive equation model, while also contributing immeasurably to theoretical development of the atmospheric cascade concept. We are indebted to the staffs and fine library facilities at Cornell University. The personnel of the Neurobiological Behavior Laboratory at Cornell have been very supportive of our studies into infrasound generated by the cascade process, and, most specifically, what role this might play in navigation of homing and migratory birds. In particular, Douglas Quine supplied the infrasound trace recorded by the pressure chamber built by Mel Kreiten. Both a National Science Foundation (GA-35250) and National Aeronautics and Space Administration grant (No. 125-8390) enabled the first author to pursue several of the atmospheric investigations mentioned in the text. Graduate students within Cornell's Division of Atmospheric Sciences, including John Zack, Robert Posner, James Moore, Nathaniel Tetrick and Eric Scace also aided in documentation of the atmospheric cascade. Mrs. Leeann Kleitz of that Division typed the manuscript. Cong Huyen Ton Nu Nha Trang taught herself MathType in order to post the paper on the Internet.

The authors thank Deirdre Campbell, Patricia, Joanne and William Dell for many years of inspiration and guidance.


Return to:
•Top
•The Ithaca Papers -- Abstracts
•Home page
1