m-LOGICALLY-VALUED
LOCAL EXCHANGE TRADING SYSTEMS

TRANCHE 19

Photo by Nguyen Huu Anh Tuan Note: Mozilla Firefox no longer reliably reads standard html coding for symbol font and unicoding of many Vietnamese fonts, so we suggest Internet Explorer for those interested in an accurate reading of the mathematical discussions incorporated herein and any Vietnamese language employed.

Given the theory of history embraced, the predominant role attributed to collective-unconscious archetypal gradients, I am not a strong believer in conscious communication. In my lifetime there has been more and more communication across the globalization village, more and more messaging in more and more media which have become their own messages and little more, more and more information density covering a noosphere evermore vacuous, evermore facilitative of the roof-brain chatter of more and more Great Communicators -- and things have not gotten better, only more and more worse. Being against communication, for decades I have done my best to live in societies where I don't speak the local language and hence cannot register much of the more and more. I almost never speak of these matters with people I encounter on a day-to-day basis -- which means I almost never speak of these matters, period. But I must admit that something like what you suggest could have been done thirty years ago -- was even implicit in what we thought and wrote at that memetime. But would it have made any difference? I strongly doubt it for then; I doubt it even for now (confirmations are welcome; anything else…). Consider that when, in 1977, the paper “Toward a General Theory of Process” was written, there was no consideration given -- outside those few privy to details of cascade theory of tornado genesis -- to anything like “scale-relativity”, single-valuedness of universal physical constants was considered the last word on the basic nature of physical constants, the idea of time as active complex and hypercomplex topological operator was unheard of, and all suggestions to the experts of the period that what are now called “acoustic analogues to black hole computers” exist in the Earth's atmosphere by virtue of acoustically-modified gravity-wave modes in complex angular momentum cascade was more or less -- definitely mostly less, given all the red ink and four-letter words -- pleasantly rejected out of hand. And although a couple of these notions are now, independent of our work, in some fashion entertained in isolated pockets of academia, still, as far as I can tell, they are not at all influential. It, therefore, seems hardly likely whatever is done will make much difference, until the present global trajectory has played itself out.

Nevertheless, when we wrote the “General Process” paper, we felt that the cascade-theory concepts more or less -- surely mostly less -- successfully generalized therein potentially have wide application, and we proceeded to do our best to discover their implications for response of the DNA molecule to impinging radiation. This transpired while I was in my early-30s and still had a modicum of my cognitive capacity intact, which has long since no longer been the case. At that memetime (and memetime will appear in the canonical equation given below, shown in its relation to first- and second-order operator-time: operator-time, almost re-discovered by Wolfgang Pauli during the 1920s [close approach to the notion of which was made by Maria-Louise von Franz in Number and Time: Reflections Leading to a Unification of Depth Psychology and Physics, Northwestern U. Press, 1974], being the original notion of time informing I-Ching chronomantic procedure, later, as the Book of Changes was reinterpreted to the Book of Chances, becoming rendered as something like an infinite sequence of probabilistic martingales of which the I-Ching compendium displays 64 archetypal cases), I was explicitly thinking -- by analogy to what I then understood to be the m-valued information-carrying capacity of electrons in electron-transport processes and free-electron gases -- about what I then designated, in the general case, “m-valued exchange units”, and, though I was not familiar with “the quantity theory of money” or history of thought about “the velocity of money”, I was explicitly thinking, relative to cascade theory, about microphysics of the velocity, acceleration/deceleration, and time rate of change of acceleration/deceleration of money flows (not specifically of money growth/contraction, though that, of course, would be an involved resultant). But it was only much later that I first encountered the word “econophysics”, and on the few occasions I tried to discuss with someone my ideas about the microphysics of money in motion pulling economic event-gradient fluctuations in its wake (by analogy to electromagnetic induction), there was a large discharge of breath and down-the-nose regard suggesting I was surely a bit off in the head. Perhaps this was a not unreasonable assessment in some regards as, being unfamiliar with the prevailing body of theory, I “coined” terms I later learned actually existed and had a different meaning from that attributed by me, e.g., “monetary base”, by which I meant the base-state of a currency upon which m-logical-values are stacked in superposed system-composite, a meaning far and away from the sense of the term (essentially, currency plus bank reserves) as canonically employed by, say, Friedman, von Mises, or anyone working for the FED. This was apparently an obstacle that could not be overcome, even when I provided explicit definitions of the terms I employed, and/or used an alternative term like “currency base” or “base-state of a currency”. So, though in my head I had already begun to develop a cascade-theory-based heuristic model of money in motion, I could find no reason to write it down. Mostly, when indicated, I write things down only for my own edification, as an aid to pushing implications of thoughts otherwise received, and, in case you haven't already noticed, put very little emphasis on conscious communication, as I see little value in it, emptying to reception from the collective unconscious taking precedence. Since I could discover in the literature no interpretation of the meaning of m-valued logics I found relevant and edifying, the memetime did not seem right, and largely still doesn't, because I continue to feel, as I did then, that it can't actually be written down, that, given what I believe to be the semantic import of m-valued logics, it could only be adequately explored and expressed in Musculpt as mathematical notation.

But it may now (May of 2008) be possible, and of some value, to provide an illustration of how what I was then thinking could be bridged to existing theory of the velocity of money -- employing some terms I then used in my reflections. This will surely not be the creative exercise it might have been thirty years ago, and certainly not potentially so fruitful, nonetheless… During the last five years or so, some papers on the velocity of money have been published in physics journals, and this appears to create a circumstance where the bridge notions will not seem utterly ridiculous, such as drawing a monetary analogy to the kinetic theory of gases as applied to free-electron gases, as was done in our 1979 theory of radiation exchange by superconductant free-electron gas core of DNA. It must be remembered, however, that I have never entertained interest in contributing to descriptive phenomenology of market capitalism; my earliest and continued focus has been upon seeking ways internal to market processes (i.e., not by regulation, command, central planning, as has been generally supposed on those few occasions I have attempted to discuss these ideas) to improve the self-organizational competency of markets. I, therefore, will not be attempting to describe existing market processes, or even existing monies, as do the papers I am aware of on velocity of money recently published in physics journals. I will attempt -- by analogy to principles generalized from cascade theory -- to elaborate an idealized heuristic model of perfectly efficient flows of monies (superintegrative long-range phase-correlations of money flows and resultant creation-growth/contraction-withdrawal over economic supersystem-system-subsystem partitions), which I take to be analogous to superconductance of m-logically-valued, superposed system-composite e-monies in quantum relative-state, such that the resultant smoothed business cycle obtains the condition of harmonic oscillation, which I take to be a macroscopic marker of perfect efficiency at the microscale (by analogy to the critical-and-cooperative physics of superconductivity). In doing this, I will assume without further comment -- referring the interested party to the content of our two websites -- validity of scale-relativity, m-valued universal physical constants, and three-fold complex-hypercomplex operator-time. I will not explicitly discuss applications of m-valued logics to system-composite e-monies, but their presence in the bridging illustration will be assumed as superposed upon the microscopic quanta-of-action providing action-directives (e.g., incentives-sanctions to buy/sell) to the economic actor, which I will designate an “autopoy”. The “economy” of the idealized heuristic model will be called an “autopoionomy” to distinguish it from all existing and/or possible-world-logic practicable economies. The tacit theory of value associated with system-composite e-monies in quantum relative-state will be deemed an “allelotropic (of each other) theory of value”. Relative-state is allelotropic (also synecdochically holographic), and orders of self-organizational competency, being reflections of the quality of relative-state, are thus measured in m-logically-valued orders of relative-state, the numeraire of ultimate value in an autopoionomy being allelotropic-synecdochic-holographic relative-state, all other values being measures derivative thereof. This theory of value is imposed by the defining properties of the system-composite fiat e-monies employed. In the sense of “defining properties” there will be only one currency base-state, but in the sense of multiple alternative superpositionings of logical-values upon that base-state according to different ways of simultaneously partitioning the global autopoionomy's vertical-lateral supersystem-system-subsystem composite (by fractalized geographical e-boundaries, by currency baskets, by economic sectors, by categories of externalities locally internalized to the market, et cetera), there will be multiple currencies but no conventional conversion of currencies, as the conversion function will be handled automatically by action-directives imposed through superpositionings of logical-values upon the base-state of the currency. Automatization of the conversion function to superintegrated phase-digit (actually phase/mu-it) structures of superposition will entail some viscosity-dampening of hot money flows, which is required to maintain smoothing (i.e., “overdetermination” by quantum relative-state) of the business cycle to a condition of harmonic oscillation. For a concrete instance, a non-resident land speculator may not be able to purchase land without directly engaging in some local activity dictated by the value-stack on the local currency base-state and “repatriation” of speculative profits may be viscous over the automatized conversion function. He/she will be able to speculate in land, but the local m-logically-valued currency-stack dictates how that speculation will transpire according to locally-chosen indicators and their relative-state (1T2-logically speaking: “interplay”) with indicators elsewhere in the autopoionomy. I will call this illustrative effort “A Qualia Theory of Lukasiewiczian Fiat Monies” -- by way of distinguishing it from “the quantity theory of money” -- because the indicators to be stacked upon the base-state of currencies represent externalities largely qualitative in nature, e.g., the “quality of life indicator”, though by no means exclusively so. These indicators will be locally computer-gamed in multiple-scenarios format by networked participatory e-meeting-hall referenda (another reason why Musculpt is required for adequate exploration and expression: the necessity of a user-friendly interface). I also so name because I believe that superposition upon the currency base-state will become a special case of “the measure problem in quantum mechanics” and that this is where m-valued logics and third-order operator-time (and how these two are deeply involved with what George Soros calls “market reflexivities”), von Hayek's notion of “the time-shapes of total capital stock” (tantamount to an economic re-statement of Everett relative-state over a universal wave-function of autopoionomy, where the time-evolution group in the Schrödinger wave equation is, in some manner, replaced by operator-time), and an autopoionomic system-composite e-money creation/withdrawal-analogue to Riemann's notion (modified and updated) of charge creation/destruction by lines-of-force (in the autopoionomic case, event-gradient fluctuations inductively established by money in motion) trapped in the time-shape chronotopology of an m-logically-valued reference space (prerequisite to long-range phase-correlation) will be found particularly helpful -- though I continue to feel this cannot be adequately explored or expressed in the absence of Musculpt as mathematical notation: without Musculpt, this bridging illustration can be nothing more than thinking in 1T2-logic about some autopoionomic implications of m-valued logics, not thinking in m-valued logics about autopoionomy. Of course, this idealized heuristic model is in many respects utterly impossible of concrete realization, as no man-made human-system could ever achieve perfect information (or universal access thereto) in real memetime, because, for instance, while nature may adequately deal in infinitudes, actualization of fine-grained tagging of identified externalities and their superpositionings upon currency base-state is technologically practicable only with regard to (presently, rather small) finite sets. Nevertheless, the idealized heuristic model of autopoionomy, were it adequately codified via Musculpt as mathematical notation, could serve as a strange attractor for existing economies, tracking them upon a march of improvement in orders of self-organizational competency. This is no utopian scheme. Moreover, we look here only for a bridging illustration.

The analogue to be illustratively explored is to chemistry treated as sound (e.g., harmonic oscillation). All of chemistry could be reformulated in acoustic terms, but that would require altogether abandoning atomistic assumptions -- and we are merely to sketch a bridging illustration. The necessity to construct a bridge is not really a part of science per se, rather of the sociology of science. Personally, I adhere to no paradigmatic preference functions, no worldview-construct optimization criteria, particularly so, as rigorous treatment of m-valued Lukasiewicz logics (dating back at least to 1921) marks the advent of a post-paradigmatic Weltbilt wherein nature is no longer coherently codifiable as selfsame. Therefore, multiple, simultaneously valid, incommensurate paradigms are welcome (suggestive of a global unity which demands diversity for its realization). We have already provided illustrative sketches of how money in motion might be treated in terms of block renaming, percolation theory, Mnk articulation landscapes, transits to self-organized criticality (see our papers “Constructing a Chaotic Marketplace” and “M-valuation in a Generalized Currency Basket”). This could also be done, I believe, via Nash-games over manifolds/algebraic-varieties of VirFut Q-Pro (basis for computer gaming indicators). Now, in view of some recent work, the opportunity presents itself to look deeper into the microscopic econophysics of monetary units in motion. We leave the question as to whether or not econophysics has any utility/validity to play-out over sociology-of-science factors.

Nobel laureate Friedrich von Hayek has stated that “…the only adequate description of th(e) 'supply of capital' is a complete enumeration of the range of output streams of different time shapes that can be produced from the existing resources”. Physicist Frank Tipler recognized this notion as being fundamentally quantum mechanical in nature. In his book The Physics of Immortality (Doubleday, 1994) Tipler quotes von Hayek on two occasions in observing that Hayek’s notion of “total capital stock” is equivalent to the many-worlds (or relative-state) interpretation of quantum mechanics offered in the late-1950s by physicist Hugh Everett, III. This interpretation does not view the wave-function as a probability amplitude; it regards the multiple-values of the function as representing real states. With an autopoionomic universal wave-function, the many “worlds” would be the multiple time-shapes of flux-partitioning which the global autopoionomy assumes under continuous chaotic self-organized far-from-equilibrium phase transition. The “supply of capital” is viewed as a multivalued function, as possessing complex-identity by virtue of being composed of a superposition of differing time-shapes. Can this idea be the basis for an electronic monetary-exchange unit that carries multivalued, holistic information? In order to evaluate this question anew, we turn to the recent work of Yougui Wang and Hanqing Qiu (Beijing Normal University): “The Velocity of Money in a Life-Cycle Model” (21 July 2005). Quoting their summary:

It is found that the velocity of money can be expressed by a mathematical expectation value of the inverse of the holding time of money. The velocity and the average holding time are reversely related to each other and the main determinant of them is the agents' behaviors.

Wang and Qiu arrived at this relation by consideration of equilibrium distribution of money in a market-economic analogue to the kinetic theory of gases, building upon earlier econophysics work of others. What would be required to generalize this inverse relation to an idealized heuristic model of money in non-equilibrium “thermodynamic” motion between partitions of a global autopoionomy codified in von Hayek “time-shapes of total capital stock”? The “average holding time” would have to become a “minimum holding time”, i.e., a minimum time for spontaneous localization in supersystem-system-subsystem composites of autopoionomy, the main determinant of which being the autopoys' transactional behaviors (quintessential cases of observer-state/object-system interactions). This minimum time could be regarded the basis of seigniorage (the “carry” on money) for the supersystem-system-subsystem composite under consideration (seigniorage, then, becoming an element of the “measure problem” in autopoionomy).

Consider a monetary transaction to be a localization of economic value (value however conceived, but in an autopoionomy as allelotropic); value remains synecologically fused to the prevailing general event-gradient flux (we note that Wang and Qiu assume that “money spreads over the domain of holding times [ 0, ¥ ] ” ) until committed to specific purposes by means of monetary transactions ( T ). “Free system-composite e-money” (analogue to free electrons) is money in general event-gradient flux, µTm-logically speaking, and being in allelotropic relative-state by virtue of m-logical values superposed and in long-range phase-correlation, may be regarded the reserve numeraire for all vehicle currencies engaged in transactional work by commitment to specific purposes (the limiting case, wherein no allelotropic relative-state prevails, is the 1T2-logic case where no superposition of LOGICAL-values is imposed upon the base-state of currencies , i.e., all presently employed currencies of the global economy). The manifold, in von Hayek's conception, of “different time shapes of the supply of capital” can only “enumerate the range of output streams” by engaging in transactional dynamics. Heuristically consider the idealized case, where all monetary units are held, to be the static state. Heuristically consider the idealized case, where all monetary units are in motion, to be the dynamic state. Call the transactional stable state of an autopoionomic partition or phase (i.e., the resting reference state of that phase, where all money in motion travels at a constant velocity and there are no long-range phase-correlations between system-composite e-monetary units because the correlation length has dropped to zero, the minimum allowed by the autopoionomy) To and the transactional unstable state (i.e., the critical state of that phase, where all money in motion accelerates and there are long-range phase-correlations between system-composite e-monetary units because the correlation length has gone to infinity, the maximum allowed by the autopoionomy) Tc. The assumption here is that accelerations/decelerations are inflationary/deflationary only to the degree that there are no long-range phase-correlations tuning intersystemic flows because criteria determining optimum currency areas remove supersystem-system-subsystem composites, or superpositioning upon currency base-state does not reflect composites, or currency base-state superpositioning is altogether absent.

In describing the dynamics of these non-equilibrium phase-transitions, we postulate, remembering this is a mere synectic analogical illustration, that the behavioral complements of autopoys employing m-logically-valued system-composite e-monies communicate the quantum potential within the autopoionomy. In order to theoretically describe superconductant processes within an autopoionomic “partition”, “phase”, or “domain structure” (herein used as synonymous terms), we will adopt the hierarchical methodology proposed by D. J. Bohm and B. J. Hiley ("On the intuitive understanding of nonlocality as implied by quantum theory", Found. Phys., 5, 1975, pp. 93-109). How it is that Bohm's “hidden variables interpretation” interfaces with Everett's “relative-state interpretation” will be discussed later, when we propose that spontaneous localization does not involve a “reduction of the wavepacket”, but a decomposition, by operator-time, of the supersymmetry space. Initially, we will detail the superconductant description, wherein a supersystem-system-subsystem composite is envisioned as consisting of:

  1. the total number of autopoys comprising a given domain structure (supersystem) partitioned into parcels (firms);

  2. an individual autopoy (system);

  3. the subsystem quanta of action providing action directives to autopoys.

In this microscopic approach, the autopoy is hypothesized to assume the role of an elemental transactional oscillator (buy/sell using m-logically-valued system-composite e-monies) whose function is to communicate the quantum potential within the given autopoionomic domain structure. The primary variables descriptive of the stable and unstable states within this closed dynamic are To and Tc, respectively, defined above.

Later, the supersystem-system-subsystem methodology is shifted to encompass:

  1. the embedding environment (as supersystem) surrounding a given domain structure subscribing to the principle of scale-relativity;

  2. the total number of autopoys comprising a given domain structure (system) partitioned into parcels (firms);

  3. the individual autopoy (as subsystem).
From the point of view of this macroscopic approach, a coherent wave phenomenon (business cycle smoothed to a condition of harmonic oscillation) is proposed, which maintains long-range phase-correlation between system-composite e-monetary units, as well as communicating the quantum signal (m-logically-valued price handled by the system-composite as a transition time) beyond the given autopoionomic domain structure. This description displays some of the essential features of both quantum and relativistic physics. The fundamental frequency of the oscillating transactional autopoy (related to Wang-and-Qiu “holding time”) is found to function as an ordering principle by establishing the optimum scale-relativistic spatial limits of the given currency domain (or area).

What effect does transactional localization of free system-composite e-monies to a phase of autopoionomy have upon behaviors of autopoys participating in that phase during transitions between the stable and unstable states? Consider the nonaccelerative state of the totality of autopoy monetary transactions comprising a domain structure (supersystem) to be the stable state. Consider the transition towards the fully accelerative state to be a transition towards an unstable state. What effect does transactional localization of free system-composite e-monetary units to a phase of autopoionomy have with regard to the hypothesized transition between the stable and unstable states?

Let us define the stable environment of the total number of autopoys, which constitutes the supersystem associated with the given domain structure, to be representative of transactional equilibrium. The resultant bouyant force (interplay of supply and demand driving prices up) at any price level is zero

where the inverse distribution of autopoy parcel (i.e., firm) density in the environment (re) multiplied by the supply-and-demand-driven “pressure” (upon prices) gradient between price levels is exactly counterbalanced by g, the gravitational acceleration (i.e., gravitating to a price, this “gravitating” being autopoionomically understood as automatized-“conversion” viscosity over differing superpositionings of m-logical values upon currency base-state). Let us assume that a given parcel (i.e., firm) always adjusts its price “pressure” to the price “pressure” of the environment. The following equation describes the time rate of change of parcel (firm) transactional motion (i.e., velocity of m-logically-valued system-composite e-monies)

where rp designates the parcel’s (firm's) perturbation density (impetus to change prices).

Eliminating P/z from (1) and (2)

Utilizing the equation of state (P = rRT) for the parcel (firm) and the environment respectively, (3) is rewritten

where Te and Tp refer to the environmental and parcel (firm) transactional states, respectively. (Later, we will find it instructive to substitute Te = To as descriptive of an environmental reference transactional state, where To £ Tp £ Tc.

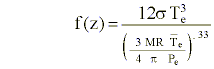
At this point, we wish to consider how a net localization-fusion exchange between the autopoy (system) and its environment (embedding supersystems) influences the vertical motion (increasing prices demanded) [] by a given elemental parcel (firm). In general, the radiative flux (here, system-composite e-money exchange) for a blackbody (here, perfectly efficient autopoionomic localizer-fuser/absorber-emitter) is given by

The reader will note that we are taking the unusual step of defining a thermodynamic concept (Stefan-Boltzman Law) at the system level of an autopoionomy: the autopoy, composed of quanta of action providing action directives, does not call to mind the traditional interaction of molecules constituting a liquid. However, this step, invoking a superconductant/superfluid approach to autopoionomic dynamics, will directly link the transactional exchange of allelotropic value achieved between the localized domain structure (parcel = firm) and the autopoionomic domain structure exhibiting quantum properties. We are thus hypothesizing that blackbody physics must be an integral part of all superconductant processes. We, therefore, seek to mathematically describe the manner in which the quantized signal, or time of transition from To to Tc, is communicated from subsystem to system to supersystem. To capture the essence of superconductance, we, therefore, assume that spontaneous localization at any one of these three levels is synchronously tied to spontaneous fusion of the signal into the next higher level. This hypothesis as to the function of time ordering in the interplay between the subsystem (quanta of action providing action directives), the system (autopoy), and the supersystem (autopoionomic domain structure, partitioned/localized into firms) lends itself to several empircal tests, later to be noted.

For an idealized parcel (firm), the net radiative flux (here, system-composite e-money exchange) is

and this expression is equivalent to the total change in allelotropic value per unit time of the parcel (firm) due to transactional processes.

Solving for

The density in (8) is to be considered a kind of mean density. The constant Cp refers to the specific heat (here, supply-and-demand-driven “pressure” upon prices) at constant price, and s is the scale-relativistic autopoionomic value (to be empirically determined) of that m-valued universal physical constant known as the Stefen-Boltzmann constant.

Since rp = f (Pe, Tp) and

we solve for rp, the radius (here, size) of the idealized parcel (firm),

Substituting (9) into (8)

After the use of a Taylor series expansion and an order of magnitude argument, we obtain

Despite the apparent complexity of expression (11) for the time rate of transaction change of the oscillating (buy/sell using m-logically-valued system-composite e-monies) parcel (firm) due to localization-fusion exchange of m-logically-valued system-composite e-monies, it is well to recall that the righthandside of (11) is merely a function of z, the position of the parcel relative to a reference level defined by Te = To.

In this regard, we must allow the parcel (firm) to change its supply-and-demand-driven “pressure” upon prices when moving back and forth to and from the reference state (Tp = To). This transactional change due to up-down motion of prices involves the adiabatic (no change in transactional volume) lapse rate gd:

Thus, the total transactional change of the parcel (firm) is

where

We now have two differential equations, (4) and (13):

Observing that,

where g is the actual transactional lapse rate through the environment, we obtain from (14a) and (14b)

Let t = (Te-Tp), and after differentiating (16) once with respect to time, we have

This equation has the form

if S(x) = 0 and the functions P, Q, and R reduce to constants.

Equations (17) and (18) describe a harmonic oscillator. If the coefficient of t in term 3 is positive, the solution for t is a sinusoidal function of time. That is, the parcel (firm) will oscillate (buy/sell using m-logically-valued system-composite e-monies) about its original transactional position with a fundamental frequency given by:

In the stable case, this may be verified by substitution for t into Equation (17)

where A and B are constants of integration. The inverse of no defines the minimum time for the process of spontaneous localization to occur at the system level.

By substituting (To-Tc) for (Te-Tp) in Equation (17), we obtain a dynamic description for an autopoionomic parcel (firm) which is envisioned to oscillate (buy/sell using m-logically-valued system-composite e-monies) between the reference level transactional state (To) and the critical transactional state (Tc) uniquely established for a given localized autopoionomic domain structure. Term 3 on the lefthandside of (17) appears in the role of a work (commitment of system-composite e-monies to specific purposes) term

wherein the expansion-contraction of the parcel's (firm's) transactional volume as it traverses To«Tc, represents a means of m-logically-valued price information exchange within the autopoionomic domain structure. This is a type of carrier function which contributes no component to the actual information exchanged, but does define the extent of this domain. In this manner, an active temporal parameter partitions the spatial reference frame (determining optimum currency areas), or, in other words, the fundamental frequency of the oscillating (buy/sell using m-logically-valued system-composite e-monies) parcel (firm) functions as an ordering principle by establishing limits of the involved spatial domain of legal tender.

Term 2:

represents exchange of m-logically-valued price information within the autopoionomic domain structure by describing changes of the parcels' (firms') transactional periodicity. Thus, the time rate of change of t exists as a central component for information exchange which may be empirically determined for a given autopoionomic domain structure. Finally, the second-order time rate of change of t, expressed in term 1 of Equation (17), as

maps the auotpoionomic domain structure's exchange of m-logically-valued price information between itself and other (embedding supersystem) domains.

Testing this theory of autopoionomic superconductivity in a prototype autopoionomy would require that empirical studies address themselves to the time rates of change of transaction time which may be mapped in terms of the autopoionomic domain structure's transit between To and Tc. Lacking any volumetric changes in localization of m-logically-valued system-composite e-monies to the domain structure, it appears the domain structure will maintain a constant time interval in going between To « Tc as given by Eq. (19). The theory further states that a specific time rate of change of transaction time, or alteration in the minimum time for spontaneous localization, will result as the frequency of localization of m-logically-valued system-composite e-monies changes. This implies that the “frequency windows” permitting spontaneous localization to various types of domain structures would be unique for each type, yet they would likely overlap.

In order to consider the resultant autopoionomic domain structure's wave equations, the supersystem-system-subsystem methodology will now be shifted to encompass the embedding autopoionomic environment, the (embedded) autopoionomic domain structure comprised of parcels (firms), and the individual autopoy, respectively. By making the autopoionomic domain structure the system, and the individual autopoy the subsystem, we will be able to construct a set of wave equations descriptive of the autopoionomic domain structure's price-information exchange process.

As mentioned earlier, we associate the balance of market forces upon the parcel (firm) described in Equation (1) to be descriptive of a stable state. A net imbalance of market forces and consequent acceleration of the parcel's (firm's) transactional dynamics described in Equation (3) is characteristic of the unstable state. In order to codify the transitions of the autopoionomic domain structure represented by a group of parcels (firms) transiting between the stable and unstable states, we identify two velocity vectors chosen for their representation of the nonaccelerative and accelerative states, respectively.

To mathematically codify this point of view, we add a gradient in time to the traditional gradients in space to define a first order spacetime del operator:


If we further define a second order spacetime del operator:


and third order spacetime del operator:


composed of second and third order temporal derivatives multiplied by a limiting acceleration (c') and a limiting time rate of change of acceleration (c"), respectively, we will be able to map the first-, second-, and third-order time rates of change of the two vector quantities as three aspects of a coherent wave phenomenon (business cycle in a condition of harmonic oscillation, as well as undergoing self-referential reflexivities).

Note that “time” as invoked in these definitions, rather than appearing as a passive backdrop to the ensuing dynamics, is now central and an active participant in the dynamic processes by which information is exchanged within the superconductant, autopoionomic domain structure. The relevant time has been previously established in Equation (19) as the fundamental transactional period (no-1) of the parcel (firm), which describes the minimum time for spontaneous localization to occur (related to Wang-and-Qiu “holding time”). The macroscopic view afforded by the wave equations developed from these spacetime del operators simply summarizes the (microscopic) view derived from the description of a single parcel (firm) governed by the middle term in Equation (17). As an ensemble of parcels' (firms') transactions accelerate toward the limiting transactional (business-cycle) wave phase velocity of system-composite e-money exchange descriptive of the macroscopic wave, the parcels (firms) alternate between being participants in the full monetary field intensities (“free system-composite e-money” in general event-gradient flux) of the stable (Tp = To) and unstable (Tp = Tc) states. In this manner, the business-cycle wave phase velocity mediates the transition between maximized monetary field strengths by imposing a limiting velocity constraint upon individual parcels (firms), thus, under scale-relativity, subscribing to principles of the Special Theory of Relativity.

Before proceeding to the issue of the wave equations, we will consider t in Term 3 of equation 17. The term itself describes a carrier function, while t represents “memetime” (the commonly understood notion of linear-time regarded, however, as a meme). Dotted and double-dotted t in Terms 2 and 3 represent first-order and second-order operator-time, respectively. A triple-dotted t, not relevant to harmonic oscillation, would represent third-order operator-time. First-, second-, and third-order operator-time, respectively, are associated with the first-, second-, and third-order spacetime del operators, given above (incorporating complex-hypercomplex unit vectors over t). The topological operations accomplished by these del operators decompose to t, an indicator of the presence of observer-state/object-system interactions (in metapsychological interpretation: the corpus of projective-identifications collectively memed as linear-time). Metapsychologically speaking, then, observer-state/object-system interactions express self-referential properties over t, but not viewable in t alone. Monetarily speaking, the base-state of a currency would be viewable in t, while the self-referential properties would be stacked upon t as Lukasiewiczian m-logical-values fine-grained tagged to externalities (some of which are associated with the business cycle). As noted above, Term 2 in equation 17, communicates the quantum potential intrasystemically (via topological operations of first-order operator-time), while term 3 communicates the quantum potential intersystemically (via topological operations of second-order operator-time). Neither of these two forms of communication involve self-referential properties of system-composites. We, therefore, monetarily speaking, look to the third-order operator for insight into what George Soros calls “market reflexivities”, which are self-referential and codifiable by orders of Lukasiewicz logics, which also are self-referential. If autopoys and firms are not to be at the mercy of market reflexivities, those reflexivities have somehow to be made explicit and incorporated into the quanta of action providing action directives to autopoys and firms: hence, the need for m-logically-valued monetary units.

So long as third-order motion is not considered, construction of the wave equations is not problematic, even if their interpretation might be. Once third-order motion is considered, however, quantum non-simple identity is completely irreducible by virtue of what we deem Sorosian self-referential reflexivities. How this is to be dealt with has never been resolved. One approach to non-simple identity (which presents itself in possibly reducible form in the linear wave equation of quantum mechanics) was originated during the 1920s by Wolfgang Pauli and involved the notion of “operator-time”. Pauli ultimately rejected this notion, which he himself created, before later going on to embrace C. G. Jung's notion of “synchronicity” (which was the basis of Jung's understanding of I-Ching chronomantic procedure and subject/physical-object aspects of projective-identification -- at quantum measurement, I would add). Quoting the bibliographic annotation, in our novel of 1994, The Moon of Hoa Binh, to Misra, B; I. Prigogine; and M. Courbage. “Lyapounov Variable, Entropy, and Measurement in Quantum Mechanics”, preprint provided in the early-1980s by I. Prigogine during personal communication:

Concerned with Pauli's rejection of operator time as being incompatible with the standard interpretation of quantum mechanics. Frequently repeated in the paper is the statement that “…the generator of the time evolution group is also the operator ['operator' in quantum theory means an 'observable'] representing the energy observable and hence is required to be bounded from below”. What is not seen is that in the common conception, entropy, a closed system, and linear time are mutually defining, and ridding oneself of this chicken-and-egg [measure] problem by considering that time in no way “flows”, but always “operates” [in the full topological sense], is to realize that it is not necessary to conjugate operator time to the Hamiltonian operator: quantized in the [Penrose] twistor format, operator time would altogether replace the Hamiltonian. Spontaneous localization and fusion are the result of decomposing and recomposing the multivalued supersymmetry space [in the present context, an m-logically-valued reference space] under various orders of operator time, not a result of the “reduction of the wavepacket” [in the present context, involved with downsizing the firm?]; there are temporal operations and counter-temporal operations; negative values of the energy have a meaning (indicative of counter-temporal operations) and, hence, what is currently treated as the Hamiltonian is not actually bound from below.

Here is where Everett relative-state interfaces with Bohm's hidden variables (which are orders of Lukasiewicz m-valued logics). How could this be represented without Musculpt as mathematical notation? During the late-1970s, we wrote a wave statement which decomposes to a set of wave equations (Appendix to “Some Preliminary Considerations toward Development of a Mathematical Model of the Autogenic Brain Discharge as Spontaneous Localization in Quantum Measurement”, September 1980).

Given the fact that the trigramic genetic code has been comprehensively interpreted to I-Ching hexagrams (Johnson F. Yan, DNA and the I-Ching, North Atlantic, 1991), this I-Ching chronomantic, hexagramic, wave-statement formulation is most apropos of the DNA case, the lines of I-Ching hexagram here understood as Brownian logical “crosses” (i.e., operators), a notation used by G. Spencer Brown (Laws of Form) to prove Sheffer's postulates for Boolean algebras, and in doing so to demonstrate that the notion “distinction” is more fundamental in logic than the notion “truth”, thus opening a path to interpretation of orders of Lukasiewicz m-valued logics in terms of incommensurate states of non-simple identity transparency, or, in other words, the Sorosian reflexivities of Everett relative-state. This by no means denies the existence of truth, only confines its utility to the 1T2-order of logical-value where it has always been. And some utilities -- such as monetary units -- may not function as well when confined to the 1T2-order as they otherwise would. In principle, there is no limit (given scale-relativity and m-valued universal physical constants) to how far the supersystem-system-subsystem methodology can be extended. How far it is extended depends upon need and purpose, and the pragmatic capability to internalize categories of externalities. Currently, due to the many dimensions of the prevailing global crisis, there is a need to internalize some categories of social, political, and natural environmental variables.

What holohedral hokey pokey! No mean hodoscope. Hocus-pocus beyond hokum + bunkum. Near-zero, not non-zero: that's the expectation value on this. And I have no doubt it will sit out the next thirty years -- which, thankfully, I won't be around to see -- just as it has sat out the last thirty years, which, unfortunately, I have been around to see. Diddly(Fiddly; Daddy; Idly; Deadly; Dudley; Ditty; Widely; Doddery; Giddily; Tidily; Dandily)-squat: no matter how many lost growing-degree days, how many lost man-lifetimes. Pooooooph!

Look, they already have the tools to get processing of m-logically-valued Lukasiewiczian-monetary-unit transactions (T as in µTm) well started -- even without full-blown Musculpt, which they also have the technology to get into seriously. M-superposed Abelian phase-mu-it computing (as opposed to mere non-Abelian two-stack phase-qubit computing for faster binary processors) of Lukasiewiczian transactions must come in the later stages of monetary-system phase transition anyhow. But what do they use this capability for? Encrypt-decrypt I-spy silly games -- as spaceship Earth becomes a gas chamber and microwave oven. Public key cryptography -- heh-heh-heh! -- factoring primes into primes into primes, surreptitiously capturing every voice/text message on the planet for storage on the Big Island, the Little Peninsula, the Last Key. BIG PATHOLOGY, human species, Last and First Men, the end at the beginning, this cosmological neighborhood -- whatever the etiology and pathogenesis, you people of the bones! Not to mention “surreptitious acquisition of DNA fingerprints”. Can you imagine all the nonrenewable energy resources dissipated in real-time GPS-monitored movement analysis on seven-billion DNA fingerprints? And Global Hawk as anti-DNA antibody. Don't believe it? Read War and Anti-War, which came out a long time ago. Possibly the authors did not understand what the unnamed general meant by that phrase. “The End of Violence” in absolute threat: fair-weather marketeers is the least that can be said about this reflexive self-reentry into global command economics transnational socialism: conversion-disorder “displacement”. And what of MOONWALKER Mitchell's take on collapse of the USSR? USA-USSR meeting of minds? Quantum-gravity NATO seminars in Moscow during the Brezhnev era, long before RAYGUN StarWars, HAARP phased-array, mirror-mode, electron-temperature-enhanced, hot-aurora, radiosphere, EMP shield-and-bouncer of laser and high-energy and acooooustically-modified gravity-wave backdoor/trapdoor beams? And Mitchell inherited the institution that third-order temporal curl created! And third-order motion is the realm of Sorosian reflexivities! Arthur Young got a patent on time rate of change of acceleration in course of creating the rotor for the Bell helicopter: thus was the institution that Mitchell inherited founded. Kinda synchronistic, wouldn't you say? Encrypt-decrypt software is a weapon of mass destruction, don't y'know, therefore a high crime, no mere misdemeanor, to use it for Gödel numbering of Gödel-numbered Gödel numbers stacked on a point in Lukasiewiczian-Hilbert space. Treason it is, yessir! Powering-up/ramping-down Gödel-number hypertemporaldrive. When your conversation voiceover transcription voice-recognition text becomes a dive of numbers cascading down (reverse-cascading up to the high crime of Gödel numbering Gödel-numbered Gödel numbers) the computer screen, the cryptanalyst isn't exactly Joe Goode “looking through” one of his Waterfall Paintings. But heshe could be! BW1 (not located in Green Land, let alone Green Castle or Midori Gaoka Green Hill) ended when Nixon nixed the Bretton-Woods gold-exchange mechanism (one kind of frequency-response window). BW2 is currently in death thrall and none of the academics, economists, moguls, speculators, politicians have any idea what to replace it with. Since what is required to produce a viable replacement is being held hostage (reflexive self-reentry) by kidnappers -- i.e., nation-states -- it's not too likely governments anywhere will become undertakers… uh, uh, I mean… Approximately five-hundred people on planet Earth have the discretionary financial resources required to seriously BEGIN laying down the prerequisites to BW3 before onset of WW3 precludes such an effort. What are the odds you give that any one of the five-hundred will act adequately? And if they were REAL SMART or could READ GOOD, then they wouldn't be trying to save planet Earth with improvements on the technologies of the past five-hundred years; they'd recognize that the high crime of Gödel numbering Gödel-numbered Gödel numbers is essential, not only to real understanding of the prevailing climate-shift dynamic, but is the key -- if not a public key -- to nature's solution to humanity's energy crisis.

I keep seeing higher and higher figures for the FED's on-the-books current working capital, now near a trillion 1T2-logic dollars. I guess the world they are trying to conquer is getting more and more complex as derivatives of risk keep stepping into derivatives of risk, thus, virtually speaking, laterally expanding the implicit e-boundaries of their planning-management-command purview. One would think that at a certain point those in charge of the FED's command economy would begin contemplating how it might be possible to transform derivatives of risk into the risk-redistribution algorithms Greenspan told that banking conference sponsored by the Chicago FED in Washington on May 8, 2003 they would be: masters of the “devil's staircase”. But maybe he never believed the money managers, Sir Isaac Newton and Baron Gottfried Wilhelm von Leibniz, were right about the nature of a limit in the calculus. As far as I know, limit sequences are transcended only under scale-relativity, m-valued universal physical constants, and order-types of Lukasiewicz m-valued logics. Them darned hidden variables of Bohm will sneak up on your Everett relative-state every memetime! So stop worrying about the “monetary base” -- be it defined M0, M1, M2, M3…Mn…MXn -- be happy, and transform derivatives into m-logical-values stacked upon the “base-state” of currencies. Make a revolution in the physicists' M-theory by initiative in econophysics over Sorosian reflexivities.

“Despise” is too small a word; one of my earliest childhood memories, becoming evermore elaborate decade upon decade. The more knowledge accumulated, the more “despise” is an ontological MUST. No need for calls to a plague -- or whatever. It absolutely will take care of itself. I won't publicly specify it, detail it -- this “despise”. Not enough reeeeespect for that! But I will say that in the war between humanity and nature, I am on the side of nature. Anti-humanism. And if this is a zero-sum war, winner take all, as it may well be, all the better, and still I am on the side of nature. Rooting, even -- day in, day out. Bring-'um on! Take-'um down! “Despise” is too small a word. Thankfully, soon, I am on my way to ELSEWHERE. Outta here. Not courting it, mind you, but doing absolutely nothing to postpone it. Take that ballpeen hammer to my other testicle; hold the barrel of that handgun to my forehead. Been there; done that (both figuratively and literally). Don't mean nothin' no more, the redundancy is so redundant. What leverage you got, then? Soon enough again, unfortunately -- incarnation being incarnation, operator-time being operator-time.

GO ye forth and multiply, eh what. Which god said that? And the word was… well, whatever it was. Hundreds of millions of 1T2-logic hu-hu-hu-mans may have been able to indefinitely sustain themselves in µTm-logic nature, Planet Earth -- but not seven, eight, nine billion. Just go build yourself a billion-dollar solar house, why don't you? Center of your idiocentric universe about which the Sun Goddess ambulates a constitutional, behest of Hobbes. That'll protect you from all those nonselfsame Greg Egan “Dark Integers” out there in space, the ponderable space of your cognitive surround. But I'm no strong believer in the psychoanalytic listening cure. Up off that cognitive couch! Interpersonal “street theater” has a better record at finally breaking into consciousness awareness of projective-identification at transference. For whatever good that is: still, brains adhere to worldview constructs which are conformal mappings of their glutamatergic neuronal etchings. So, keep on truckin', keep on dissin', and call it whatever you will, this animistic-schizophrenic-Bon interpretation of Lukasiewicz logics. Nihilistic Logical Anarchism, however, does not seem an inspired contrary to Russellian Logical Atomism. I'm way to the right of anarchocapitalism and simultaneously way to the left of anarchosyndicalism. It's actually a nonorientable socio-politico-economic Mobius strip, not a simply-connected political spectrum, however viewed by Mr. Muddlethrough. There are surely better aspersions to be cast at L-logics. How many Poles does it take to change a light bulb? Three. One to hold the bulb and two to twist the ladder. Aspersion cast at the breakaway 3-valued order-type of Lukasiewicz ladder-logics (L-cubed), even invoking the involved imaginary-time, “temporal curl”-twist, about a Pole, bridging one order-type double-helical rung to the next. And what do you think the light bulb analogically represents? This is how insight into prevailing collective unconscious archetypal-event gradients is gained. (For a bit of analysis of this sort of thing, I recommend Cong Huyen Ton Nu Nha Trang's paper “Poetics in Vietnamese Riddles”, Southern Folklore Quarterly, XXXV, No. 2, June 1971, pp. 141-56.) The Pole, Lukasiewicz, published a rigorous account of 3-valued logic in the immediate aftermath of wwI, thus insuring the later panzering of Poleland as the initiatory operation in the logical march of wwII. Notions of reference being -- for the collective unconscious -- what they are! And what does that -- in the imaginary-time of the collective unconscious -- tell us about µTm-T{i}-bet? About Greater China? About disagglomeration of the EU? About Germano-Russian Bloc? About ww-Pole-cubed? The real problem with MANopoly is that there is no card where you pass GO and proceed directly to global war, without landing on great depression beforehand. Not very realistic, wouldn't you say? Well, I'll be FEDed!

I note that Chevron only made five billion (these days, the cost of five houses) in profits during the first quarter of 2008, while Microsoft unsuccessfully offered nine times that figure (45 houses, hardly an exurb) for controlling interests in Yahoo. Meanwhile, according to AP, AFP, and… whichwhateverwhom:

Kurdish rebels on Monday warned they could launch suicide attacks against American interests to punish the U.S. for sharing intelligence with Turkey after Turkey bombed rebel bases in Iraq on Friday. [[Who can count how many times the US special service corps has sold the Kurds -- uh, Kruds -- down the line? and don't forget what that Delta Force guy told that paratrooper neophyte in Blackhawk Down… Heh-heh-heh!]] Oil traders worry that any conflict in the oil-rich Middle East will cut oil shipments out of Iraq.

In Nigeria, a Royal Dutch Shell PLC spokesman said attackers hit an oil facility belonging to Shell's joint venture in southern Nigeria and that some oil production has been shut down. Nigeria is a major U.S. crude supplier.

For “humanitarian reasons”, the VC never, in history of the Vet-Num war, cut the water pipe from the Thu Duc pumping station to Saigon. Why? They knew they didn't need to.

AQ&A have restrained themselves for decades as regards the HUGE corpus of their targeting options -- i.e., remembering all those hours during 1966 in First Phase at Special Forces Training Group, devoted to means-and-ends in behind-the-lines irregular warfare, the original mission given to SF, particularly the corpus of Lodge-Bill recruits, those old rip-chords between missions R&Ring in Germany (B-T). Still pretty much media-directed: AQ&A, wouldn't you say? Think their restraint will persist indefinitely? Maybe they are so confident, they know they don't need to.

Little discussed is the contribution financing of GWOT and Afghan-Iraq BATTLES has played in facilitating the present mortgage crisis, which is more fundamentally a derivatives-of-risk crisis, increase in risk to one category of derivatives-of-risk affecting all others, according to their indices of relative-state.

I can't get no sat-IS-faction. Money motivated. Greeded. Thingified. Them damn THINGS jus' take over your life! No experience of wholes. The housebuilder decomposed and disaggregated to building trades. Building trades disintegrated to piece work. No craft. No quality. No aesthetic sat-IS-faction in work whole-done. Piece work incremented, fractalized, and delocalized out of the ZI. Down to the last quantum of work-flow. Steroids for the pecs; steroids for dics. Junk house. Junk food. Junk shoe. Junk object with high-extractive entropy in supply-chaining of built-in obsolescence spread over a resource-depleting planet climate-shifted and cognized by over-glutamate-etched and microwaved brains ever more open-sourcing antipsychotic drugs. Junk person. Unending growth required by markets simply to organize allocations -- no expectation of growth, everything stops -- and in a resource-depleting environment? Cancer is self-canceling because it kills its host. No wonder the natural environment and the internal workings of organisms are deemed externalities to market processes and thus are not to be considered. Six-billion people in denial; five-point-nine-billion dead men walking. In the space of a single decade! As long as 1T2-logic currencies are employed, market cancer -- freak of man, not freak of nature -- will continue its march of self-cancellation. How many species extinctions so far? When will there be no fish in the sea? The list of such questions is very long, indeed. And the answers have yet actually to register. Prob'ly neber will. Are Einstein bombs and dirty energy expressions of nature or of human collective psychosis? Is a quantum mechanics dissembled as probability amplitudes (so as to suppress the foremost application of Lukasiewicz logics, i.e., to Schrödinger's wave-function) actually descriptive of nature, or is it a figment of a collective psychosis increasingly in projective-identification by transference-displacement-conversion to Globalization 3.0? “An amazing era of prosperity and innovation”? So what? Don't mean nothin'! The hind tit of existence, even if gold-plated -- and a gold-plated tit don't give no sat-IS-faction. Let it not be forgotten that it was a Jew who, by his own initiative and innovation, handed Stalin a blueprint for what became the industrialized forced-labor concentration camp: globalization, as the economists' regressed, “displacement” version of the physicists' quantization, delocalizes the concentration while diluting whatever qualia once were. What is sent around, goes around, and comes back upon -- if not by a Stalin, then by a Hitler. America has always attracted a certain kind of person, regardless of the country of origin; nowadays, that kind of person can immigrate to America without leaving the home country. If The World is Flat, like Thomas Friedman maintains, then greed flattened it and the human species is a dead species walking, for no system, natural or artificial, long persists on a single scale level, particularly so be that scale local either/or global. Unending growth over a single scale: absolute certainty of human species self-annihilation. Globalization of greed involved a collective conversion-disorder “displacement” of the quantum properties of the new uniformizing technologies to an infomanic cultural “monism” self-similar to that philosophy dominant of late-Wilhelmian Germany when a similar “displacement” was made over the intersection of higher mathematics and physics. The World Monism Society was represented by Madame Krupp Steel at the Chicago World Fair where she delivered a keynote address on how monism will rid the world of all conflict! The End of Violence in Globalization 2.0. And the resultant present-day globalization of nazification is far from nonviewable at this very moment. Nor will it cease, as the collective unconscious forces driving it are enormous, having already been responsible for two world wars. Roundheads, by projective-identification in transference, become Flathead Levellers every memetime! Myself, I've always been a Digger. You dig? A single-level system absolutely devoid of scale-relativity (no global village, but a global company town -- the WholeEarth made a prison: P2P, prisoner-to-prisoner -- with a company store to which all but a few are indentured, and the hard-drive of every aspect of existence digitalized to fragmentation) is a self-antigen inducing autoimmune dyscrasia by activating autoantibodies like AQ&A and the like. The autoantibody does not activate the self-antigen; the self-antigen activates the autoantibody. AQ&A won't win, not because they will lose -- they won't -- but because the autoimmune disease initiated by globalization of greed will morph, with a little help from climate shift, post-peak oil, generalized resources depletion, water and food shortages, beyond-carrying-capacity expendable populations, atomic/nuclear weapons dispersal, et cetera, by historically-near-instantaneous far-from-equilibrium phase transition, to all-out hot global nano/space-based war, a Greater China having subsumed Southeast Asia and Japan (by all the means made available to it by Flathead economics), allied to a Germano-Russian Bloc, standing-off against the Ameranglosaxon Raj, with the Islamic Crescent having been a catalyst and Latin America to be a Trojan Horse and Achilles' heel. No choice but war, because of the necessity for unending growth simply to organize (maintain economic order) in a resource-depleting environment. Seven-, eight-, nine-billion, when ecologically-balanced carrying capacity is probably no more than two-billion. Haaagh! Whereas James Lovelock predicts a small number of human breeding pairs clustered to the poles, I am much more optimistic: a human survival rate as low as ten-percent seems a reasonable expectation value (if climate shift does not, or has not already, come to involve small changes in Earth's magnetic core by anthropogenic alterations of solar-wind conveyed complex angular momentum cascade: ah, being a HAARPer, how I do StrangeLove those electron-temperature-enhanced “hot auroras” StarWars demands).

To all but the virtually brain dead (adolescent-onset Alzheimer's: over-glutamatergically-etched corpus of neurons; microwaved neocortex; prescription-drug saturated; recreational drug-saturated; mimetic-estrogen saturated; intraneuronal and intraperineural DNA, quantum-frequency shifted by chronic stress and agrochemicals-antibiotics-steroids), there is no speculation involved; it's a done deal and all that awaits is endgame play-out, no more reversible than climate shift or was the Cambodian holocaust once the compensatory abreaction of forced-draft de-urbanization had been initiated (compensating the U.S. policy of “forced-draft urbanization”). You don't have to tell me who caused the Cambodian holocaust: those responsible for the coming attraction, holocaust of the WholeEarth. This could not be revisionism because I enunciated it at Strategic Research and Analysis, MACV-HQ seven years before the Cambodian holocaust. Every stage of globalization has been forced-draft, going back to waning of the of the Middle Ages, imposed by mass murder. Economic development under market capitalism has been, and still is, considered identical to “forced-draft urbanization”. Read any text on development economics. Wait until the global grid goes down in The Long Emergency, and see if that does not constellate the functional equivalent to the Khmer Rouge's compensatory forced-draft de-urbanization. In the current stage of globalization, the compensatory abreaction compensates falsification of Schrödinger's wave-function to probability amplitudes. This chronic dissembling of certain aspects of nature was built-in as the tripartite Fertile Crescent Religion came off the cognitive assembly line, and compensatory abreactions cycle through the same anti-animistic abreactive contents over and over and over, amplitude of destruction increasing with each new fulmination occasion. Don't expect crocodile tears from me: too much blood splashed in the face for that. To be a participant in collective psychosis is to mistakenly regard oneself as sane; to know oneself to be in collective psychosis is to be actually sane. One of the main things I learned at MACV-HQ is that you don't debate, try to communicate with or influence, the virtually brain dead. Hold up a blue square, they actually see an orange circle. Collective self-destruction is an awesome thing to witness. Best just observe and learn from it as much as possible.

Right. Just like all the Great Powers chose not to go to war in WWI because none of them had a good enough reason and the whole thing didn't make any sense. I learned a long time ago that if you want people to listen to your criticism, you cannot state viable improved alternatives; as soon as you do that, they stop listening. And the Great Powers learned this a long time before I was born, a long time before I took “Foreign Policies of the Great Powers” at AU's SIS. Why do you think all of economics has been CONCENTRATED into the hands of a thousand billionaires and the few companies they control, this CONCENTRATION taking place, according to the propagandists, in Kenichi Ohmae's “borderless world” and Thomas Friedman's “flat world” by Flathead generalization of the “flying geese” and CONCENTRATION of all risk on the planet, by bundling and derivatives, to one scale level -- the global scale -- while “trickle down” (even of potable water) to nine-tenths of humanity has dried up because the scale levels upon which real people actually live -- street, hamlet, village, town, township, and so on and so forth -- the economists, the business people, and the propagandists no longer acknowledge to exist? You think this is because they -- like the Great Powers of yore -- had a good enough reason, because the whole thing made sense, because there were no viable improved alternatives? Leveller magazine was a good source, of course. And if you were inclined to turn red when things heat up, then you read Lobster. When have Laocoön and Cassandra ever been the sorts to feel they had something to lose -- even facing Ajax, the cleanser, and the slayers of Agamemnon? Rape and murder is only to be expected. A “flat borderless world” is a crushed world, THE WORLD put into a compactor that crams all the scale levels into a single slab of junk. Junk house. Junk food. Junk shoe. Junk object. Junk person. Junk bond. And if “We are the world!”… In a junk world, it is the junk collectors, with their compactors and numerical rock crushers digitalizing all experience into utter fragmentation, who become the billionaires. Greed doubly-exponentiated, power-hunger taken into factorials, I think, are only two elements of the cover story. Human nature: therefore, I am exonerated. A 1T2-logic rationalization; whereas, the real story… Why is compaction such a big part of calculus over complex manifolds? Throw in the towel, folded-towel diffeomorphisms. Uh-oh! Here we go again with the schizophrenic word-salad, notions of reference, everything connected to everything else. Well, all I can say is… in the “flat borderless world” you apparently want, everything very definitely is connected to everything else -- that's what compaction is! -- even if everything is just so much junk, junk coefficients factored by Japanese white-car/blue-suit quality-control software. The reason why the compaction is necessary, as well as the clipping and pasting of unit circles (those myriad out-sourced Osterbeiter laborers CONCENTRATED to the global scale by analytic compaction of a complex manifold, i.e., THE WORLD), is because N. H. Abel's famous theorem on the many-leveled quintic (please, just read Eric Temple Bell's 1912 Ph.D. dissertation: the cyclotomic values lie there stacked on the multivalued reference space; they don't need recursive generation; and this may actually tell us something about cyclones we don't already know) was dissimulated to “The Impossibility Theorem”. Since “We are the world” didn't want anything “impossible” in the world we are, we had to go non-Abelian, and that required compaction of the many-leveled, many-splendored thing THE WORLD is. Of course, there were many stages by which this transpired, each of which, by collective-unconscious processes, putting into conversion-transference-displacement via projective-identification a new elaboration of warfare as compensatory abreaction. Synchronicities here, not antecedent-consequent relations. By God, we'll find a way to rid the world of Abelian animism. You just watch the pagans go pell-mell. M-valued functions be damned! Satan, I say. The devil's carrion. Regressively codifying and compensating the dissembling of Abel: Black Hawk War; Seminole War; the Bank War of the 1830s; Texas Revolution and the war with Mexico; First Opium War; Crimean War; Second Opium War; Wars of Italian Unification; American Civil War. The many-leveled thing that was “impossible”, alas, gave rise to set theory and then, most disturbingly, Cantor's diagonal proof of the non-simple identity of transfinite sets. I told you that damned Abelian trans-algebra bunk should have been kept under better control! Wrap it up, I said. Put it under a covering. Now those scum, Impressionists, anarchists -- Lotus-eaters all -- have grabbed on to it. It'll take a war, a war I tell you, to get rid of all the low-lifes. Otherwise, what would become of business? Regressively codifying and compensating the suppression of Cantor: Franco-Prussian War; Turkish-Serbian War, Bulgarian Revolt; Afghan War; Transvaal Revolt. And then along came the Axiom of Choice, without which “impossible” transfinite sets are merely manageable infinite sequences, all of which have their limits, as Newton well knew, allowing the world of mathematics to be constructible by real mathematicians in real time. Hilbert's “To progrom!” over WholeMath. So, get rid of the “fog-on-fog” transfinite sets and any axiom allowing them to be chosen. Cantor was crazy! He had fits! There will be no schizophrenia, no epilepsy, in my mathematics, let me tell you. Regressively codifying and compensating rejection of the Axiom of Choice: Spanish-American War; War in the Sudan; Boer War; Balkan Wars; WWI. And then the damned physicists, if you can regard a Tantric sex pervert like Schrödinger a physicist, have the temerity to bring Abelian functions into the straight-forward account of waves. A wave-function. What hype! But we clobbered them. Anticipated that whole mess. So what, we had to suffer a small problem to banish the horror, yes, the horror? Humph! Brought logical atomism up early on -- and it worked. M-valued logics -- another abortion to issue out of Abel's impossible smut -- never even got close to Schrödinger's wave-function. Hah! And then Gödel muddied the waters completely. Masterful, yes, it was masterful. Probability amplitudes, la-lah la-la-lah! Regressively codifying and compensating the fact that the Sorosian reflexivities of m-valued Lukasiewicz logics were not used to interpret Schrödinger's wave-function: WWII. And then a bunch of new quantum technologies were made based on dissimulation of Schrödinger's wave-function. A flat borderless world emerged by regressive analogue over economics/business. And, most ominous, all risk was CONCENTRATED to a single scale level, such that anything, no matter how small, is now too large to fail -- for having been compacted to the global scale. So that scale has to be protected at all costs -- until it can't be protected any more. Then what? There has never been anything like this before. It's just too big. We can't let it fail, but it is failed. And we can't let that be the case, so the only thing we can do is cancel it, altogether call it off. How do we do that? With a war that really does end all wars. And wasn't it HC-Superstar, Democrat, who first overtly threatened to nuke Iranian population centers? But what sort of president could most easily get away with nuking the natives? Tell you anything about electoral financing? A bit like those Brit journalists calling the Burmese paranoid, all the intelligence assets directed against Burma these last decades, and the whole situation there being little more than one more legacy of all the wonderful things the Colonial Office achieved in imposing syllogistic 1T2-logic on Asia. Or those Brit Greens railing and huffing against the cutting of Southeast Asia's rainforest, given who first industrialized that effort. And where was that done? Oh, uh, Burma, wasn't it? When was it the Irrawaddy delta last had trees? Route to the sea for China's new far-west military-industrial complex. Got the southeastern route covered with eleven entrances to the Hainan submarine base, which also accepts aircraft carriers to its underground economy of forces… Why do I write like this? Because the elicited knee-jerk hysterical reaction confirms the thematics essayed -- which confirmation could have been of some collective value, had it not been for all the glutamateric neuronal etching goin' Roundhead.

How long? That's what everyone wants to know. How long have I got to get what I can? Haven't the foggiest. A research project in its own right. If I were to try to get a feeling for it, I'd attempt to monitor velocity, acceleration/deceleration, and time rate of change of acceleration/deceleration of growth/contraction in derivatives. This is the aspect most deeply in regression (statistically and psychoanalytically) of the market conversion-displacement analogue to falsified quantum theory of self-organization by noise, i.e., probability amplitudes, and therefore will be the saddle-back breakpoint factor for the whole transference by projective-identification. When a person or a collectivity has no idea what is happening to it, only that it has been damaged, he/she/it/they has/have no way to identify actual origin of the damage, particularly if that origin is subliminally self-reflexive, so it chooses something ready to hand, lashes out, thus increasing the damage, lashes out more intensively, is more greatly damaged…

Doing something like this? Not bloody likely. As Mr. Nose Worthy well knows, and you can read all about it in Public Eye, the expertise lies elsewhere: Sam Hilluel; Handy Nguyen; Trust Castle and Mercantile; Derpera Teak; IBCC; Hombre's; Bank Brand; Glenfell Kleinwort; Outland; One Bank; Imim's LNB-Xirtam/IslandNamyac; Bank Two; DataBank IRIS; ThreeBank; Benson Morgan… All that experience, what value in currency-mining of m-valued logics? Given that so much of the technology developed and employed by the human species throughout its history has been in one way or another related to warfare, one can attribute to this activity a large percentage of the entropy generation of the species. Should it then be surprising that a situation eventually would emerge where massive warfare becomes the only real solution to the planetary consequences of the sum in entropy the species has generated?

It is really a hoot that George Soros is ridiculed by Litehead journalists for maintaining that his notion of “reflexivities” has something to do with quantum physics (see, for instance, Matthew Lynn, “Emperor Soros' New Clothes”, The Spectator, 7 May 2008). On the one hand, that The Spectator should consider Soros' philosophical ideas “incomprehensible” tells us a great deal about what has happened to British education, that Old Queen, and, on the other, that Soros has not taken the time to investigate the deep relationship between Sorosian reflexivities and self-referential Lukasiewicz logics; Everett's quantum relative-state; Bohm's hidden variables; F. von Hayek's “time-shapes of total capital stock” and their relationship to sub-quantum chronotopologies, brane theory, M-theory; John A. Wheeler's self-referential “Great Smoky Dragon”; Stephen Hawking's “imaginary time”; minimum times and holding times; Roger Penrose's “twistor” as quantization of temporal curl; loop-quantum gravity; fiber bundle arithmetics; Kaluza-Klein internal dimensions; topological re-entry in tornado genesis; the temporal curl involved in Wolfgang Pauli's “operator-time”; Cantor diagonalization; Gödel-numbering self-reflexivity; and the scale-relativistic absolute limiting time rate of change of acceleration (Youngian “control” re: the rotor for the Bell helicopter) tells us a great deal about how poorly organized are contemporary organizations. Apparently, even people with ten-billion dollars at their disposal cannot find good help these days.

The guys at The Oil Drum certainly do a better job than The Spectator in giving an account of George Soros' take on the notion of reflexivities (article title above picture of Soros: "Peak Oil and Reflexivity and Peak Oil"). Even aptly characterize his Popperian naive realism, which is a huge stumbling block to further insight into the self-referential attributes of reflexivity, and likely the main reason why Mr. Soros did not look any further into self-referential propositions than did Karl Popper -- hence suppressing import of Lukasiewicz, a suppression quintessentially characteristic of Popper's generation (with its enormous consequence: world war), less understandable for Soros, particularly given his Hungarian origins. But when they get off into quantum mechanics and whether or not it has any relevance to anything other than the very small or the very large… well, easy enough to see why this is a discourse I would quickly walk away from. Something like a century behind the times, and don't have an inkling how thoroughly fundamentals have been fouled, why they were fouled, and what the consequences of fouling have been, even though they write about a few of them most everyday. Something like biological superconductors. Dates from memory: Watson/Crick double-helix, 1953; BCS theory of superconductivity, 1957; first paper suggesting DNA a superconductor, 1963; first microphysical model of DNA superconductance (derived from studies of double helix-coil transitions in tornado genesis), with quantifiable predictions that can be experimentally tested, 1979; biological superconductivity largely drops out of the literature, 1980; technologies developed on superconductant DNA over past 30 years (some of them in Hungary, even), but everybody remains 40 years behind the eight ball.

Searching memory, truthfully, I can't resurrect a trace of suspicion that permission was sought from Cambodia, Laos, North Vietnam before proceeding forthwith to saturation bombing by B-52. So not being able to get aid to cyclone survivors in Burma, permission or no permission, has a rather strange twist to the sound of it, belying your contention that aidors wouldn't be insertors. Burma is a very probable major battlefield of wwPole-three, a battle of the new Burma road which in a real sense has been nascently fought for decades. One reason why international aid agencies, multilaterals, foundations, anonymous donors, helping professions without borders, tourist volunteers will have limited capability to deal with holocaust of the WholeEarth is the degree to which they have served as insertors. The contemporary situation in Burma is prefigurative of play-out over the fact that what has long been sent around will all too soon come back around. Blowback, its own kind of cyclone/typhoon/hurricane. Sort of like how MEDCAPS propaganda by broad-spectrum antibiotic flood eventually had its downside in reduced anti-viral immune competency.

As I understand it, and don't quote me on this, a big difference between cockfighting and derivatives is that in the former case the bet-taker holds the bets (all ordered there with bills folded between his fingers where everyone can see), whereas in the latter case the bet-taker-holder doesn't actually hold the bets (margins) placed, but creates new derivatives with them or invests them in other derivatives or lends them out (often over-the-counter where they are nonviewable). Moreover, in cockfighting the bets are generally made in hard cash, while in derivatives they are frequently made with money borrowed from the bet-taker-holder who uses the money borrowed from him and bet with him to loan to the counter-party taking the bet the bet-holder holds-but-doesn't-hold. And the mechanical details of each type of derivative/option/future/forward/swap vary, while in cockfighting at a given venue betting rules are generally invariant, and vary little in principle between venues. Moreover, the volume of bets made at a cockfight is a lot smaller than the volume of bets accruing to derivatives: somewhere around 1000 trillion dollars, all things considered (over-the-counter contracts guessed at well past 500 trillion). And since the money involved is mostly all fog-on-fog, financial pogonip, mere Paiute, as it were, a put being a call, a call being a put, a forward on a look-back, a look-back on a forward, Asia option on a Himalaya, Himalaya option on an Asia, a rainbow on the Bermuda triangle, a Bermuda triangle on a rainbow, weather derivatives in a climate-shift dynamic -- on borrowed money -- the thousand-trillion in OTC and exchange-traded derivative contracts are, holistically speaking, in a condition of Everett relative-state, which means that any transaction is omnitransforming over a derivatives manifold inherently indescribable because no one can possibly discover every kind of exotic option privately contracted and/or covertly embedded into the structure of notes digitalized/binary-composite/ensheafed. Implying that not only are there valuation-, hedging-, and arbitrage-determination problems, but, more fundamentally, there is a breakdown in simple-identity of the economic actors involved. Who are the actual counterparties and who the actual margin taker and holder-who-doesn't-hold? When the money involved is all fog-on-fog, absolutely-in-so-far-as-distinct identity is subject to the uncertainty principle. Did the money borrowed from the margin taker come from the other counterparty two steps removed? If so, who are the actual counterparties. It doesn't matter? Maybe so. But if the counterparties can't be distinguished from the margin taker and holder-who-doesn't-hold, then that may matter if a lot of write-downs in options begin to transpire. If, in actuality, the margin taker/holder, by not actually holding, is, indeed, tantamount to both the counterparties he supposedly services, then a thousand-trillion in fog-on-fog won't take long to dissipate once the wind starts a-blowin'. And all this risk is marked to, compacted at, concentrated upon a single scale of monetary motion! Risk in no way sorted out by m-logically-valued Lukasiewicz monetary units and redistributed over a dense supersystem-system-subsystem global composite. Whatever multiple scales of motion -- as possessed by any synergistic natural process -- there once were to the global economy have been systematically removed.

Since we've gone Global, have it As You Like It: if Troy was Cambridge, then falsification of Schrödinger's wave-function Against Interpretation by Sorosian reflexivities of the Lukasiewicz logics of paganic-animistic relative-state identity-transparency was continuation of The Fertile Crescent Religion's suppression of Celtic Druidism, and the cognitive rape and illicit impregnation of Turing at Bletchley Park, productive of a finite-iteration binary-logic machine, just one more in a long list of roMan atrocities upon Druidesses.

I hate to disillusion you, but most certainly in the Viet Nam war case, because of the massive real-time documentary and testimonial falsification (award citations were actually given for this, according to how many linear feet of fabrication produced), what you got was instant revisionism successfully pitched as consensus history -- so that anything based on the facts before they were falsified is now regarded by consensus as revisionary falsification.

The human mind is an inchoate instrument, pure and simple: as the dictionary says, nothing more than the strap attaching the plow beam to the yoke. The two things informed people come up with to reduce m-logically-valued monetary units to their understanding are: Silvio Gesell's notion of “free money” and the “national dividend” of Clifford Hugh Douglas' Social Credit movement, launched by his WWI-era book Economic Democracy. Make me into a FreeRyyyder or a SoCred, they do! These are the two “something different” things in the monetary/economics area they are familiar with, so m-logically-valued monetary units, also being something different, are put in the same class -- and dismissed out of hand. No further consideration, and certainly no investigation of the involved concepts, required. But other than being something different, there is no further commonality. I've written about Gesell in Tranche13, so I will leave that alone. Douglas' “social credit” generating the “national dividend” to redistribute wealth derives from the differential he identified between price and wage, which he maintained the financial class (identified by Christian fundamentalist adherents, St. Michaels' pilgrims, among them, with the Zionic Elders) usuriously usurps unto itself. Both Gesell's and Douglas' ideas are redistribution schemes, something like national Tobin Taxes. While Douglas' differential (and its various dimensions not elaborated upon by Douglas) could be redistributed, just as Gesell's “free money” and “free land” could be redistributed, what would, most fundamentally, be redistributed would be the expectation of growth in capital, which expectation is responsible for allocation of resources in market capitalism. Remove growth and there is no economic organization. One is left with the need for planning and command mobilization if anything is to happen. It's not like the human species hasn't been through all this before -- and doesn't need to go through it all again. Indeed, no such luxury, given state of the planet. Both Gesell's and Douglas' ideas are 19th century throwbacks, back-reactions against the whole corpus of new ideas that came on the scene in the several decades prior to WWI. These ideas of Gesell and Douglas -- which came on the scene in tandem with Lukasiewicz logics and did not take advantage of these logics -- can be cast as newish only because “free” and “dividend” can be regarded as related to “free energy” exchange in open systems and “redistribution” can be treated as expressive of positive feedback -- open systems and feedback being regarded as post-Cartesian-Newtonian. The notion of equilibrium is tied to the thermodynamics of closed systems and EndTimes heat death, which is actually the type of system that would be obtained if Gesell's or Douglas' ideas were vigorously applied. Growth would stop, and so would repair. So, how do you get the organizing functions of growth without the entropy generation of growth? Is that possible? Consequences of the entropy generation can be locally deferred. One way is by having a system of many nested scales, wherein negative entropy is borrowed (interest always paid, of course: there is no natural system that does not charge thermodynamic interest of some sort) from the embedding domain by the embedded domain. This is non-equilibrium thermodynamics, fundamental principles of which have never been fully (substantively? adequately? minimally?) embodied in monetary systems. But open systems just defer the heat death, be it biological or of an economic nature. Then there are third-order systems which are self-reentrant, self-reflexive, self-referential. Closed, open, self-reentrant: three altogether different kinds of thermodynamics; three altogether different kinds of dynamics. You want to slay the necessity for unending growth and escalating entropy generation, while maintaining the capability for SELF-organization, then all three of these have simultaneously to be embodied in the very fabric of the system employed. I am saying that only m-logically-valued monetary exchange units can accomplish this for an economic system. And the natural world model for this? The fact that intermolecular electron transport processes in biological organisms are m-logically-valued, and deeply involved in mediating functional integration across scale levels in living systems, i.e., across those boundaries-without-boundary over which allocative resource exchanges osmotically transpire.

Nah. Sorosian reflexivities, in my judgment, have nothing to do with the Phillips curve; nor do they have to do with the corrected Phillips curve, that straight line. Nor with the modified corrected Phillips curve. But, as I suggested several years ago relative to Don Nakornthab's Harvard dissertation on monetary theory, Sorosian reflexivities are likely deeply involved with the corrected corrected Phillips curve -- even in regards to only 1T2-logic currencies. If self-reflexivities of a system are not explicitly viewable in that system because not formally tagged from the 1T2-logic order-type, nonetheless, they are still-there (following Bohm-E.T.Bell, enfolded/cyclotomically unfolded, degree depending upon the order of logical-ontological-temporal operator employed at scale-relative quantum measurement (setting expectations, conscious and subliminal): I do not think there is a one-to-one correspondence between order of exponentiation of supraquintic transalgebraic equations and Lukasiewicz order-types, not least because of the distinctions between real, surreal, hyperreal, absolutely nonreal, complex, hypercomplex algebraic varieties over corresponding manifolds, and what that has to say about the 1T2-logic notion of discrete-vs-continuous, but, clearly, extending from Karpenko functors, there is some correspondence) covertly influencing event gradients by virtue of the m-logically-valued properties of the system qua system. Self-reflexivities are not purely subjective, any more than logical-value order-types are purely subjective: “subjective or objective” is a notion abysmally anchored to the 1T2-logic order-type, whereas there are infinitely more than an infinite number of CTC-order-types of self-reflexivities, each order-type of Lukasiewicz logics being an order of self-reference incommensurate with all others and irreducible to any concatenation of others -- even though they are all stacked and numbered by Gödel-numbered Gödel numbers on each dimensionless point of the m-logically-valued reference space. You think open (i.e., CTC-logically-valued) authenticity-“awareness” has anything to do with what 1T2-logic subjects experience “awareness” to be?

What could I possibly mean by the words “a Cambodian holocaust of the WholeEarth”? What, indeed, but exactly what the words say? No euphemism. Certainly not yet the case, but synoptic conditions, planet Earth, are strongly transiting -- in principle; forget, if you can, particularistic fixation upon utopian socialism, communism, tribalism, collectivism, self-referential and self-observational and self-reflexivist witchery, or whatever other cover pagan-animism takes by projective-identification over glutamate-etched brains -- to a state of self-similarity with those conditions prefiguring the Cambodian holocaust. Samuel P. Huntington's (recently of The Clash of Civilizations fame, but who earlier coined the following term in a well-known article of the period) “forced-draft urbanization” (the policy behind Viet-Nam-war-era “free-fire zones”, which the Khmer Rouge unconsciously, in compensatory abreaction, constellated -- in retrograde, i.e., mimicking our very own personal palindrome, Lon Nol -- as forced-draft de-urbanization) has been the quintessential principle of development economics for centuries, and its form of CONCENTRATION is reaching planetarized palindromic (Lon Nol) proportions by economic free-fire zones (contemporary China being only one present-day instance), Dennis-the-Menace bombing behaviors, derivatives goose-stepping into derivatives, and so very much more (some of which manifesting as The Clash of Civilizations, itself a kind of self-reflexivity over Huntingtonesques). Already we see prefigurations of the prospective over-compensating palindromic compensatory abreaction in the various West-more-land “permaculture agendas” developing in response to The Long Emergency. I believe that the long-term transit in synoptic planetary conditions to critical-state self-similarity to those precipitating Cambodian holocaust has recently been accelerating and that we are just about to see an increased time rate of change of acceleration kick in. Not even under mercantilist colonialism has resource rape -- including human resources -- been so elaborate. And the collaboration of people, particularly military people, in assisting CONCENTRATION of economic and political power -- even in the so-called democracies -- is unprecedented in the degree to which this concentration has shifted human systems away from all pretense to analogically model natural processes, thus setting human systems irrevocably against nature. Frankly, I don't think human systems have the ghost of a chance to prevail in this war. Those ridiculing the doomsayers over the past century or two or three, have insured inevitability of the doom they've ridiculed in order to perpetuate their self-identifications and the prevailing patterns of privilege. The longer cognitive and behavioral inertias, coupled to the momentum yet retained by systemic status quo, are able to postpone cusp events, the greater will be the level of violence at cuspover when anyone construable by anyone as responsible for anything will be hunted down -- not by consciously willed behaviors, rational or irrational, but by constellated regressed archetypal collective-unconscious event gradients propelling…

Unkempt ideas, curmudgeonly expressed. Yes, that… I could concur with that. And here are a few more. The Revolution in Military… whatever… is in actuality a counter-revolution (and a bit of Thermidorian reaction to “the passing of an illusion” strung over an economic El Nino, the verge of bankruptcy, an inability to manage the national debt…). The information explosion is not a transfer of the big picture downward along the military chain, but a relocation of the little picture upward such that it has all but supplanted whatever big picture there once was -- no great accomplishment, for, by the time of the Viet Nam war, the big picture had been so lost in the wild blue yonder to “globaloney” (a WWII-era term suffusing golf-course conversation of my father's generation) that there was virtually nothing left to supplant. Is little-vs-big picture determined by size of the FlatScreen used by the FlatHeads entangled in compacted chain of the FlatManaged FlatOrg.milnet? What kind of information do Ferret-Elint platforms, Intelsats, and drones overwhelmingly provide? Tactical or strategic? Little picture or big picture? The answer to that is obvious and of no real interest -- no matter how many platforms, sats, predator-hawks. All grades now couch potatoes decision-briefing the omniscient FlatScreen omnipresently scrolling realtime chatter-chat chatroom brief-back. Great successes against military kolossi like: Grenada, Haiti, Dominican Republic, Nicaragua, Panama, Iraq, Serbia, AQ&A, Afghanistan, Iraq again (oops!)… The question of profound import is: Why would a whole military culture mistake a counter-revolution for a revolution? Why would it choose to maximize the opportunity to win every battle so as to more thoroughly lose the war? The answer clearly has psychological dimensions (apropos of my Viet-Nam-war-era peers -- those stabbed in the back and staid-in -- who brought about this “revolution”) and far and away transcends purely military-culture factors. I'm pretty sure I know a good part of this answer and have stated it one way and another a hundred times on these webpages. And I will also suggest that the practice -- begun in earnest during the American Civil-War era -- whereby American corporate culture has modeled itself on American military culture, has not in the least abated. Indeed, that practice has been globalized to financial-system and multinational globaloney in unprecedented cow-pie proportions: the very same counter-revolution mistaken/touted as a revolution. And the wages they pay the touts! Who they now embed at the tactical level where battles are won and wars are lost, and -- when globaloney-ized -- where culture clashes reign and civilization falls to natural processes neglected (in the form of human systems). In the present SCALE-RELATIVISTIC global context, Iraq is a battle, and not even a big one. If so, name me a relevant “universal physical constant” and click off a few of its m-values. What do you imagine various categories of “autopoietic operators” might do with such values, and how would those extra-combat, free-energy “doings” affect STRATEGIC variables in the environment of the combat? How constant is the constant-entropy surface upon which your force structures are mounted? Where is your intelligence on this? No evidence of its existence has been leaked to the touts.

If you think just a bit about import of scale-relativity, and necessarily associated m-valued universal physical constants (don't even bother with such constants being under m-valued logics), I strongly intimate you will have grave difficulty altogether ruling out the possible conclusion that contemporary science, across the board, not only needs minor adjustments, some better approximations, but that it just simply is altogether wrong, and that were scale-relativity confirmed -- say with regards to tornado genesis, or other acoustic analogues to black hole computers, or superconductant free-electron gas core of DNA, or cometary feeder bands, or hurricane-typhoon-cyclone on Jupiter, or phased-array electron-temperature enhancements leading to anthropogenic hot auroras and possible small effects on Earth magnetic core, or multilayer intracellular water and plasmahaut phase boundary-without-boundary, or so on, or so on -- not a corner of contemporary science would go untransformed. Including understanding of the ongoing climate-shift dynamic. O, the deformed transformed, yet again -- dread Witch of the East! Will this Yellow Peril never cease? Not at all surprising, history of the last hundred years in warfare -- that Heisenberg found irreducible uncertainty, that Gödel found 1T2-logic undecidable essentially. Science/technology as confirmation of the thoroughness (at quantum measurement) of socialization of cognition UNDER CHALLENGE, not exactly a situation eliciting collective composure. And if the human species could not deal “rationally” with sub-critical states of this challenge, what makes you think “appropriate behaviors” will characterize its response to full-blown criticality?

The “flatter” things become; the more robotized; the more humanoided, skin-headed, implanted, pierced, prostheticized, tattooed, plasticized, subliminally manipulated, Schwarzeneggered, cyborged, Cyberiated, steroided; the more deeply people are neuronally etched; the more microsofted becomes their mushy mentality; the more thoroughly their brains are microwaved, CATed, Wi-F[r]ied, IRed, fMRIed; the more the frequency-response windows of their intraneuronal DNA molecules are shifted out of “physiological”-value range by the ever-increasing number of EM and EMP and RFIDed sources in the ambient space of their ADLs; the more face-to-face becomes a cultural lag, a mere species memory trace; the more face transplants mimic face-to-face memory trace by projective-identification in transference; the higher become people's glutamate titers, and, more generally, their mimetic estrogen titers; the more attention-deficit/hyperactivity becomes normative and therefore no longer a disorder; the more antipsychotic drugs acting upon intermolecular electron-transport processes of neurons are used to stretch the attention span from two minutes to three minutes; the more frequency of cell-phone calls received by multitasking adolescent-executives and scrollbar-masturbating executive-adolescents effect contracture of attention span from three minutes to two minutes; the more out/source-sink businesses are allowed to indiscriminately engage in flattening, stripping of 1T2-logic borders, electromagnetic assault without submission of psychosocial impact statements and without becoming subject to related class-action torts; the more monotonic-productivity increases, intrasystemic-efficiency enhancements, and 1T2-logic-profit maximizations remain dissociated, by lateral mental cleavage in homiletic businessmind, from embedding entropy generation, inducement of chronic stress, debilitation of immune competency, activation of autoantibodies, anti-DNA antibodies, and cellular morphological changes; the more insurance conglomerates underwrite, and issuers of derivatives hedge, the fundamental causes of hominid warfare, econotropic environmental dyscrasia, anthropogenic climate shift, while remaining exempt from economic and criminal responsibility for what they underwrite-hedge and thereby homologate, contribute to, abet, encourage, pander, pimp… this list could easily be greatly extended… the more completely is sociality ripped from the socius; the more are cultural multi-utilities and cosmological metareferential tropes removed from the objects employed during ADLs; the greater is the index of coercion, or threat thereof, required to maintain social order; the more is the dominance of the dumbest Type-A established as a fact of moment-to-moment existence; the closer comes the approach to holocaust of the WholeEarth. It's not merely a matter of whether or not dem dam Type-A's will be fast enough, relative to imminent cuspover, at getting up 1T2-logic P2P-PC, ASSW (antisocial software), omni-surveillance, predatoring, PPC (planetary population control) technologies, but that the better they are at doing this, the more thoroughly will they lose their war against m-logically-valued nature, thus, much to benefit of the biosphere, condemning the progeny they have profligately proliferated. So double-binded by convoluted consequences of their subliminal self-reflexive behaviors -- any wonder they don't like m-logically-valued nature? -- incendiary violence is foregone.

I've always at least half agreed with JFK: never offer explanations. But ever since 4:03 a.m., Tet-'68, I've found that a pothering of complaints and criticisms is a great way to pop smoke. So, be aware how rare: I've contributed no progeny to population proliferation and in fifteen years of gardening ten hours a day, six-seven days a week, I personally planted tens of thousands of trees and hundreds of thousands of plants, simultaneously supervising the planting of many times these numbers, while living very low in indices of conspicuous consumption, so, though my lifetime carbon signature/footprint is ecologically egregious, and by no means favorably comparable to those of Third-World subsistors, still, by First-World naturopathogenic standards…

Well, actually, if you ask me, as you apparently actually have, I would have to say I suspect minute (i.e., a short space of time AND a short time of space) changes in Earth's COMPLEX (i.e., involving Hawking “imaginary-time”) angular momentum budget, induced by changes in the complex angular momentum conveyed to Earth by the solar wind -- and influenced by GHG-mediated frequency-response characteristics (not to mention anthropogenic “hot auroras”) of Earth's atmosphere -- have, quite possibly, as much influence upon ocean circulation as thermohaline pumps and migrating patterns of surface winds and severe local storms (I mean, if we were to get off the surface of things and get real about the complexity involved: how many was it what was involved in the n-body problem? that problem which is a lot bigger problem for 1T2-valued logic than for m-valued logics, given all the m-valued variables there are over Earth's atmosphere) which are related to migrating patterns of non-surface “winds” which are related to factors like minute changes in Earth's REAL and COMPLEX angular momentum budgets, and likely also the quantal and sub-quantum Penrose-twistor “stuff” at the most outer-upper reaches where solar-wind/Earth-atmosphere-magnetosphere interactions (plus anthropogenic phased-array-radar-induced “electron-temperature” enhancements, most of which transpire over the northern hemisphere, not included in any of the 18 non-classified climate models used to predict ice-melt rates) “begin” their cascade dynamics. Moreover, I think, at this point the birds and the bees probably know more about this than we do -- well, uh, uh, at least the dead birds and the dead bees.

There are very good reasons to put off various classes of potential readership, as I have recently been re-reminded.

What do you expect? The Spanish Expulsion took place the same year the Santa Maria initiated the American genocide/holocaust. And before that. And before that. And before that. Jewish efforts to expulsion Cabala continue unto this day. Islamic efforts to expulsion Sufism continue unto this day. Christian efforts to expulsion Gnosticism continue unto this day. Nobody said the Earth will be lifted pre-trib-RAPered to Heaven -- or on that day at ar-MA-geddon. It's The Fertile Crescent co-Religionists to be preferentially so lifted. And what do all those m-valued, uh, m{a}-valued, Shinto-sacred space[d], s-cubed/not s-squared, that is, uh, the trans-al-jabr[ed], imaginary-time[d] VARIABLES over Earth's atmosphere and under m-logical values (the Polish Celtic Druidism rejected at Cambridge) of the n-body problem have to do with (at least for human species collective unconscious thematic orchestration of archetypal behavior gradients, mass hysteria, planet Earth) if not pagan animism? And you think The Fertile Crescent co-Religionists could conceivably deal appropriately with climate-shift dynamics?

Right! The world is a broken pot and it's my duty to repair it. If so, then my first question is: Who broke it? And if the answer is God, that he got nervous and dropped the pot, then my first thought is -- in trying to figure out how to fulfill my duty -- My, how much that sounds like a projection! Who dropped the Worldpotknotdrumloom? God or man? Deogenic or anthropogenic? And is the pot the world or the mind of man in projection as the world? M-logically-valued mind of man broken to 1T2-logically-valued mind of man?

If you have never drunk a fifth of tequila in an hour, no matter how experienced an anesthesiologist you are, there are certain qualia of general anesthesia you cannot know. If you have never been caught, the token American bare-feet in the mud, your only weapons stealth and a knife, silhouetted in a PINK flare blitz, there are certain qualia of fright-flight (fight, in this case being ill-advised) you cannot know. If you have never… If you have never… If you have never… My personal list is longish, but not nearly so long as those of others -- particularly those caught up in the events of WWII, or the myriad other mega-occasions of human abuse of planet Earth and others on planet Earth. But to turn these “If you have never…”'s into rationalizations of vengeance… it's not a moral issue; it's an issue of psychological competence, whatsoever the particular corpus of “If you have never…”'s -- whether or not there is the competence (which involves psychophysiologic self-knowledge) to overcome the rigid peritonitis-like, septicemia-like, post-surgical-shock-like response to perforation of the soul-whatever-substance of human experiential coherency upon direct immediacy to this, that, and the other “If you have never…”.

Yes, indeed, who said, “Vengeance is mine”? And what order of personification by projective-identification in transference does that indicate? Father, Son, and Holy Ghost. Is the third logical-value to this cosmic proposition a presence or an omission -- and how many orders of self-referential reflexivity does a ghost conceal? There is a case, mentioned several times before, which Clausewitz failed to identify: no matter what nation-state A does to nation-state B, no retribution can be obtained, because, by omission, B has already insured self-annihilation of A: vengeance has already been mine.

Speaking here only for myself, not for anyone else -- as I have no real idea what they then would have said, or presently would say, on this and related subjects. My use here of the term “scale relativity” is quite different from the meaning of the term as employed by Laurent Nottale and his collaborators -- though somewhat related, of course. In the 1960s-'70s multi-scale numerical modeling of tornado genesis utilized to develop the computerized cascade-theory forecasts of tornado outbreaks over, finally, a 1-km grid, and, at best, twelve hours in advance, on NASA's then-best mainframes (only from historical data sets, to the great and continuing misfortune of many, I feel), both space and time and the spacetime of Earth's atmosphere were treated as discretized into grid-length and time-step modules as well as “limited spacetime domains” (understood as somehow “laminated” -- in that fractals had not yet sufficiently come on to become here a focus of active work, and because the research opportunity then and later available precluded serious efforts at generalization). Moreover, time was understood, not as a reference frame, but as “agent” actively manipulating the spatial properties of the limited domains involved. Therefore, it was not regarded as a dimension, but as a full-blown topological operator, capable of effecting any of the various categories of topological transformations of manifolds (which was how “limited spacetime domains” were envisioned). But these topological operations (the term “temporal curl” was then employed and “active time” and later “operator-time” when we learned of Pauli's notion) -- some of which were understood to be self-referential, self-reflexive, self-reentrant -- were understood to transpire only in the critical-state dynamic across scale-levels, whereas, in the reference-state dynamic within a given spacetime scale, time continued to appear to behave as a reference frame. In my personal judgment, if subtleties such as this about the nature of the cascade model of tornado genesis had been understood outside a very small few, the model would not have been granted the opportunity to run even with historical data sets. In this energy-momentum cascade model, a phase velocity of a type of wave occurring in Earth's atmosphere was treated in exactly the same fashion as the speed of light is treated in the Special Theory of Relativity. This phase speed was atmospheric light speed, and everything associated with light speed was associated with this atmospheric phase velocity. It was further understood that there were fractions of this phase velocity for the whole of Earth's atmosphere which functioned as the phase velocities, or light speeds, for various scale-nested “limited spacetime domains” of Earth's atmosphere, for each and all of which, everything associated with light speed in Special Relativity was associated in Earth's atmospheric dynamics. Similar considerations were applied to wave phase accelerations and wave phase time rates of change of accelerations -- with different categories of topological transformations (of, for instance, theta-e topographies/manifolds, a kind of hypertemperature topology) being understood as being associated with each order-of-differentiation absolute-limit (for a given scale-relative domain) over a dynamic variable (i.e., of motion). These understandings were built into the mathematical structure of the computer model. So, not only were there nested sets of grid-lengths, time-steps, and limited spacetime domains/modules/laminates, there were nested sets of m-valued universal constants (e.g., light motion) and their differentiations into orders of sets of multiple values of those constants. The cascade dynamics of tornado genesis were understood to ALL occur when, and only when, these critical values were reached -- this “reaching” being diagnosed by the computer model when functional march of dynamical variables diverged. At divergence, when the involved sets of nonlinear partial differential equations could, in principle, no longer be solved, then the topological transformation of the involved manifolds transpired by “temporal curl” and everything involved with that. Just as in Special Relativity, no matter what the motion of observers, the laws of physics are the same, so it was in the cascade model of tornado genesis. But, given multiple nested scale-length and time-step minima and maxima, the resulting m-valuedness of universal physical constants, and the resulting resultant Special Relativities nested inside of Special Relativities, the laws of physics were not the same in different COLLECTIONS (finite and infinite, hence Cantorian) of grid-lengths, time-steps, and limited spacetime domains/modules/laminates, regardless of the motion of observer(s). This being the case, the understanding arose, that the m-values of each universal physical constant, sets of them, and all of these sets taken together, are under Lukasiewicz m-valued logics (which we then knew of primarily in relation to Emil Post) such that the non-same laws of nature were likely still lawful, except that the very notion of “law” might have to be revised in a fashion whereby nature no longer is understood to be selfsame (logically, topologically, otherwise). We then further understood that Heisenberg uncertainty had, most fundamentally, to do with this “m-values of each universal physical constant” being “under Lukasiewicz m-valued logics”, and that this likely had a lot to do with Riemann's famous thesis about the origins of charge (even, perhaps most especially, in tornado genesis). There are many other differences and similarities, but this, I think, gives something of the feel of it.

Several observations in response. One should have learned by now, simply by looking at state of the world, that, with few exceptions, anyone high up is low down, a little people… In my considered opinion, the actual window of opportunity on the prevailing climate-shift dynamic closed in the decade prior to onset of WWI. Once Schrödinger's wave-function had been consensually interpreted to probability amplitudes, lock on that window was thrown. Measurable physical manifestations of climate-shift cuspover, it now clearly appears, snapped out of the background noise synchronously with onset of the Cold War, which diverted human attention away from the problems the human species had created for the planet's ability to respond synergistically to promptings from its sun: crime against the solar system. The best way to get some feel for magnitude of this is to study some relevant actual scale-relativistic process in detail… If you treat scale-relativity as if it were simply another dimension [x, y, z, t, D], the scale-relativistic Hausdorff D being regarded a binary switch, i.e., fractals on or off, that is, scale-relativity or no scale-relativity, you make the most minimal gesture towards acknowledging essential scale-relativity at foundations of nature, and one more or less tantamount to old-style unified theory in a 5-dimensional manifold numerically mapped with standard bi-quarterions (type “quarterions” into Google search if you wish to gain some idea of how thoroughly Google suppresses intelligent cognition) -- which is to suppress virtually the whole of Abelian-Bellian cyclotomic cascade/reverse-cascade dynamics by scale-relativistic identity-transparent Everett relative-state. J. G. Bennett published a 5-dimensional theory in 1949, then understood that the identity-transparency necessarily involved -- which he deemed during the early 1950s the “diversely identical”, and Peter Wilberg has recently approached with the designation “simference” -- cannot be represented by Clifford parallels and fiber-bundle arithmetics alone. Standard Grassmann algebra of standard octonions, therefore, is inadequate to actual relative-state identity-transparency. Three-fold operator-time, m-valued Lukasiewicz logics, Charles Muses' hypernumbers, and Musculpt as mathematical notation are required to capture scale-relativistic cyclotomic cascade phenomena. Studying in detail an actual scale-relativistic process like tornado genesis is a considerable aid.

Vengeance is not the least off subject here. Vengeance, though not necessarily a palindrome, is most certainly a retrograde, and perhaps more than occasionally a retrograde inversion (e.g., involving rape, torture, mutilation, signification). Recon-by-fire is fast forward; reaction force in surveillance-by-fire is retrograde inversion. A venery in vengeful attack upon the venery. And… in those cases where it is a retrograde inversion, properties of self-referential reflexivity are involved. Clockwork Blue. Clockwork Green. Clockwork Orange. Clockwork Yellow. Dali timepieces, all. Ends are obtained in the form of the means employed. Those persons set on vengeance, obsessed with vengeance, are those least capable of acknowledging its formal properties -- and, most especially, the relevance of those formal properties to other concrete processes than that of vengeance, processes which also exhibit those same formal properties. Nor will they acknowledge how a person, or corpus of persons, could, by conversion/displacement at projective-identification in transference -- a particularly flexible and viscous plastic analogue to the form of retrograde inversion -- become obsessed by the form without conscious awareness that this obsession sublimates vengeance, and therefore might not be the best form, or might prejudice the selection of forms, made within the “displaced” field of interest. Moreover, if vengeance were, for whatever reason or reasons, to become a dominant emotional commitment cultivated by a species, say the human species, then likelihood of that species gaining real insight into natural processes prominently exhibiting that particular form are, indeed, not significant -- as the actual content of such processes will continuously suffer conversion/displacement in observer-state as measurements are designed and made upon involved object-systems. The processes themselves will not be seen, therefore not actually measured -- only the projections transferred to the processes. Several cases where this has spectacularly been the case are m-valued logics, tornado genesis, black hole physics. The list of less spectacular, but still substantial, cases of conversion/displacement is quite long, I am afraid. And if those cases happen to involve issues of superintegration of biological, ecological, climatic systems, for instance, then the consequences of resultant patterns of human behaviors “displaced” relative to those areas… Beyond dirty atomic energy, dioxin, Rome plows, how many technologies of conversion/displacement can you identify? What about the high-tech intelligence used by incompetents to defeat low-tech adversaries -- or to try to? What does such intelligence actually “measure”? And does this prefigure what will happen when a truly competent and well-matched adversary is obtained?

You don't know what I mean by conversion-disorder displacement? Well, the examples given, I will admit, were fairly complex. Here is a more simple, clarified, example: the "time cube" notion. The ideas on this website are regressed expressions of a conversion-disorder displacement. But I do not impute that this is something accomplished solely by the author of the website; it is a collective psychological expression for which every human being who has lived over the past several hundred years is responsible. Third-order operator-time is the cubic exponentiation of the linear operator. Cubic to cube: conversion. Time to square called a four-day cube: displacement. The website has received well over a million hits. This level of interest in the very little the website has to offer indicates the presence of collective unconscious processes involved: constellated archetypal event gradients. That is the clear and rather simple example, and we could leave it at that.

Or we could go into a little more detail. What constellates? Suppression of something vital, something inherent to Nature, something in the very nature of Nature. The suppression automatically yields regression of the conversion/displacement accompanying the constellated projective-identification in collective transference (which I will not elaborate on here) of archetypal contents of the unconscious. What, in the case of time cube, was suppressed? The notion of time as a topological operator implicit in Wolfgang Pauli's idea of operator-time, which is a concept required to apply m-valued Lukasiewicz logics to the interpretation of Schrödinger's wave-function. How did the suppression transpire? Rapid general acceptance of Max Born's notion of probability amplitudes as being the way to understand import of the m-valued variables superposed in Schrödinger's wave-function. But there was a prior conversion, long suppressed and somaticized by glutamatergic neuronal etching of human brains: topologically-active first-order operator-time converted to passive reference-frame linear-memetime.

Bits and pieces at scattered locations. Little more than that. Even to one enamored of Oz and totally committed to Ever-Ever Land, clearly, nothing will happen capable of sufficiently differentiating the global equation so as to facilitate even the most minimal of post-cuspover expectations/fantasies.

Come on. Think of the history of it. Truth is unitary and invariant. There is only one truth -- and that truth is arrived at by logical necessity, a given step of syllogistic accommodation NECESSARILY following the one preceding. The one truth dependent upon inviolable precedence relations. But then, for reasons which arose primarily over the previous century, in the cognitive and physical space existing between Russia and Poland, a decade before WWI, the notion of “logical necessity” is successfully challenged. And the motivation for this challenge is significantly, if not predominantly, political: the “must” in logical necessity is understood to be the root of political coercion. Is it really surprising that both subsequently-arising Germano-Russian communism and Austro-German national socialism should later have focused so much vengeance upon the cognitive and physical space of Poland, the national homeland of m-valued logics, those logics which cannot be authentically understood in relation to the notion of truth-value? And what is death of the one truth analogous to? God is dead. And who killed him?… Displacement. Don't forget displacement.

Hick-flick, Chick-flick, Dick-flick… a hell of a world it is. “Is There Life on Earth?” I remember someone asked not too many decades ago. In amongst the zombie clan. The Interpretation of Mass Murder is the novel which did not issue out of Yale Law School. And for good reasons, given its orientation to Last and First Things in regards to etiology and pathogenesis of Cambodian holocaust (small h), precursor to holocaust (small h) of the WholeEarth. Six million transiting to six billion: how many orders of magnitude in a single bound? How super man is! And why is that? Where is the interpretation?

Given the incidence and the magnitude of the regression involved in the enormous effusion of conversion-disorder displacements flooding the planet, how can any relatively informed, relatively sane, relatively intelligent person doubt the virtually inevitable consequence will, indeed, transpire? Far more elaborate than in run up to WWII. The “time cube” is one prefiguration among many, many prefigurations. Perhaps the constellation needs to be stated one, two, three. One: suppression (of essential properties of Nature). Two: collective expressions of conversion-disorder displacements. Three: holocaust of the WholeEarth. But it is worst than that. There is a four: behaviors associated with the long-running conversion-disorder displacements have sullied natural processes to such an extend that global-scale phase transitions have been set in motion, the events occasioning which will fan the intensities of one, two, and three. Four is largely a post-WWII phenomenon. Still, no impetus apparent to look past the inevitable at what can presently be done to prepare for post-cusp-event recovery.

My geographic area of responsibility, the specific job assignment while at Strategic Research and Analysis, J2/MACV-HQ, was Saigon/Cholon/BienHoa, which, after I mapped the VCI's administrative pie slices around Saigon, included those sub-regions which were directly under control of the communist Central Office for South Viet Nam (COSVN). So, studying both their underground apparat and our security and intelligence and counterintelligence apparatus in the city and surrounding areas, I had a pretty good feeling for the overall situation there in aftermath of Tet-'68. Prior to that, I was briefly assigned to Targets, Combined Intelligence Center, Vietnam (CICV), which chose sites for B-52 strikes. Before that, I was with Technical Intelligence Detachment, the 525th Military Intelligence Group, operating out of Vi Thanh, deep in the Mekong delta and over toward the Cambodian border (not too far from where I am living these days). Immediately before leaving the ZI, I was assigned to Psychological Operations Group, Special Warfare Center, Ft. Bragg. Before that I went through Special Forces Medic training. And prior to SF Training Group, before Jump School, at Advanced Individual Training (AIT), I learned some critical aspects of what is required to operate a rock quarry. Though I quit SF after a year and a half during the last week of Medic training, I kept in contact over the years with some of my Medic classmates and others met while in SF Training Group. A couple of them eventually got put in candy wrappers; others tried the circuit. Circuit-RYYYYdders of the posterior sky! Others stayed in, played important roles in creation and command of Delta Force. Larry Friedman, for instance, was a close friend. My personal judgment on these sorts of issues is based on that experience and subsequent research and analysis on analogous processes exhibiting, according to my lights, self-similarities of principle. I have conducted this independent, wholly self-financed research as best I could over the past forty years on a fairly persistent basis, with interludes of overwork to garner meager resources.

Soon after I returned to the ZI during 1968, I began making jaded Vietnam Vet statements largely disparaged by those around me. Such as: the Phoenix Elimination Program in Viet Nam will be planetarized. The need for violence will become so elaborate that torture will be normative. A time will come when international travel will be possible only for government officials and the super-rich. In due course, there will be the functional equivalents to internal travel visas in America and other democratic First World countries. The security arrangements in Saigon circa 1968 will appear tame compared to what will evolve in major conurbations around the planet: cordon and search right here in Los Angeles; residency, job, or official permission required for intracity mobility. A person's every word, gesture, movement will be monitored, and enormous efforts will be made to extrapolate thoughts based on this monitoring. This is only a small sampling of such unwarranted statements. Such statements were always made in private and generally followed upon something like removal of all coin-op telephones from National Airport, non-anonymous credit/phone card required over which presence at the given phone and calling history can be recorded/developed; institution of cards for superstores, without which there is no access to sale items at sale prices, and by which date/time at the store and purchasing history is recorded/developed; institution of regressive toll/taxes on movement into and out of city centers, which, when the situation finally demands it, can easily be rolled over into the high-tech equivalent to internal travel visas. Why did I take on such a snide, pessimistic, depreciatory, insolent attitude to the state and its efforts to protect itself and its people from bad guys? Because, given the governing mindset I witnessed in Saigon, I was certain that all the methods employed in Viet Nam would be planetarized, and that those methods would be approximately as successful spread out over the whole planet as in Viet Nam. Strategically, there would be zero chance of success by employment of these methods, which not only substitute for adequate address to basic causes, but tacticalize, massify, and blanketize all activities undertaken to such an extent that any offensive initiative remains part of the strategic defensive. This type of reaction is emotionally driven, whatever glaze put upon it. Once police forces, lawyers/legalities, special operations military personnel under military command, regular military forces become involved, strategic failure has already been guaranteed, and though the thing can be dragged out virtually forever, there is zero chance of actual success -- only proclamation of success and a walkaway, until the next fulmination ensues. It is not a police problem, a legal problem, a military problem; once, for whatever reasons, it is allowed to become so, then…

CIG, JIC, JACK, JIO, JOC… Cutterbucking the Sternists with Lord Carver, Templering with Ferret Force, flacking the Mau Mau (rather than mau-mauing the flack-catchers)… Vengeful collective conversion-disorder displacement by projective-identification in transference, unlike the calculus, has no notion of a “limit” -- only of the “cut”. The displacement can range over all domains of ponderable space, all of memetime, every hyperspace, whatsoever function of complex variables. And the consequences, being divergent, are not, at least not according to Church, calculable, even iff abominably recursive. Dagger Teams in Viet Nam were not a GVN innovation; they were an American initiative carried out by South Vietnamese, part of the earliest CT Program (“counter-terror” with a vengeance; by no means “converted terrorist”, no matter how much conversion-disorder displacement may have been involved) repertoire (e.g., Roadrunners, Sat Congs, Hatchet Forces) adapted from the Brits' Briggs Plan Malay Mafia for The Emergency, earlier from the Brit-trained “Special Night Squads” of the Haganah, earlier from BSC- and OSS- and SOE-instigated terrorist teams of the WWII resistance groups, earlier from… earlier from… primitive Christian anti-pagans at the time of the Roman Empire, earlier from… and probably back to height of the last Ice Age 20,000 years ago. Such is the low-intensity history of the far and wide left/right/center as regards vengeance-filled conversion/displacement. Then there are the id/anal-stage deep-penetration bombing behaviors to consider; and the id/genital-stage, water-sport saturation bombing behaviors to contemplate: both regressions in service to the SUPERego (anyone high up is low down). “Projection” is just another word for POLICYMAKING. “Blowback” is a “retrograde” -- and the “inversion” is in actuality never absent, for what was “converted” and “displaced” in projection was a self-attribute found unprocessible (like immunologic idiotypic m-logically-valued self-markers are to 1T2-logic cognition). The self-attribute in projection later blows back as retrograde inversion, a self-referential reflexivity. Why do you think there was such popular revulsion for dodecaphonic art music? Because, in its form, it mirrored the metapsychology of self-laceration as “displaced” to mutilation of “the other”, of the vanquished other, of the other-as-self-substitute subject to culture assassination (an all-cultures global phenomenon by “compactor-flattener” uniformizing technologies). The pathology (somatically anchored to the brain by the glutamatergic neuronal etching which denies conscious access to Igraine {The Mother in Arthurian legend, the Chalice, the Grail} or, in other words, the m-logically-valued processing from which 1T2-logic processing demerges) extends -- quite naturally -- to vengeance upon nature, the “displaced” responsible agent. This is so so subliminal that Stephen Hawking can state in a BBC documentary that the multi-worlds interpretation of Everett's quantum relative-state (i.e., that interpretation of the interpretation which is under the John von Neumann formalism and “proves” these worlds cannot communicate with one another) can save Hawking black-hole-as-information-destroyer. What more pristine illustration of vengeance (by conversion/displacement) upon nature? Especially when it is understood that this statement by Hawking is a denial of the existence of “acoustic analogues to black hole computers” in Earth's atmosphere (only in some non-communicating other universe, thank you) and of the critical roles such analogues may play in play out of anthropogenic climate-shift dynamics. And we all now know what the best and the brightest, the great and the good, having gathered their Elaine's about them, have done to this planet.

What this is about is finding a way to continue to not take responsibility for QUALITY of being-in-the-world and being-in-action. So long as universal physical constants remain deemed single-valued, there is cosmological license for mankind to do whatsoever it might wish, and remain free of culpability so far as human judgment is concerned. Single-valuedness of universal physical constants allows establishment of absolute limits -- e.g., Planck's limiting distance, Planck's minimum time -- and these absolute limits are what maintain the “classical limit” which keeps quantum and relativity theory out of the middle scale levels, i.e., sustains the false notion that decoherent processes of Newtonian absolute space and time prevail over these middle scale levels. Remove those absolute limits by understanding that universal physical constants are m-valued, that all absolute limits are relative, and, suddenly, simple-identity separability ceases, because, as Proust recognized, the immobility of objects (their lack of animistic animation) is only because we think they are themselves and not simultaneously something else (i.e., only because we assume they do not subscribe to the Bennett diversely-identical in Everett relative-state identity-transparency, which is spatially codified as nonlocality). Were quantum-relativity allowed into the middle scales -- such as Earth's atmosphere -- then mankind would be utterly culpable for its failure at reciprocal maintenance. Tornadoes, for instance, would not be “pathological phenomena” -- as they have repeatedly been designated, ad nauseum, by meteorologists in various states of projective-identification -- or Hawking information destroyers, but operational amplifiers (“acoustic analogues to black hole computers” by m-valued functions of acoustically-modified gravity-wave modes rippling hypertemperature manifolds like theta-e surface topologies) in scale-relativistic information systems subscribing to Everett relative-state. Who gave you the right to build your house where -- by solar-system need-fulfillment -- tornadoes must roam? God, I suppose. By insisting upon single-valuedness of universal physical constants, quantum relative-state can be pushed off onto hypothetical other universes which, by “conversion/displacement” of The Existentialist's ego-sphere-encapsulation to absolute separatism, cannot communicate with one another, thus sustaining the notion that scale-relativity over the middle scale levels does not exist, and therefore that relative-state over the middle scale levels does not exist, such that mankind can do whatsoever it wishes without culpability for consequences. Cosmological narcissism claimed and maintained! No propitiation of nature required; so, strip away all notions of cosmological metareference, all such tropes animating objects, objects following such stripping found then to be utterly simply-identifiable. But what if the “other universes” are actually -- by consequence of m-valued universal physical constants, and implications of such constants for substratum of Heisenberg uncertainty -- scale-relativistic “limited spacetime domains” across all scale levels of this one and only universe? Then culpability of mankind is absolute: Worringer's Form in Gothic as tropological metareferencing of that absolute culpability. No wonder Kandinsky's On the Spiritual in Art aroused so much animosity! No wonder collective hysterical back-reaction to Lukasiewicz's “On the Spiritual in Mathematics and Science” degenerated into two world wars. What else are Lukasiewicz m-valued logics -- employment of which being the only way to understand a non-selfsame universe under m-valued universal physical constants -- if not “On the Spiritual in…” ? More concretely, if tornadoes, for instance, are operational amplifiers in scale-relativistic information systems subscribing to Everett relative-state over sets of all sets of the “limited spacetime domains” at all scale levels of this one and only universe, then anthropogenic climate-shift dynamics on Earth might provoke climate-shift dynamics on, say, Jupiter and/or Mars -- by way of reverse-cascade coherent pulse-code burst back-channeling of information to solar cycle (analogue to “particle creation near black holes”), which cycle itself, by solar-wind propagation of complex angular momentum changes, is largely responsible, via energy-momentum cascade, for onset of tornado genesis within Earth's atmosphere. Solar cycle response, by relative-state, having its effects on Jupiter, Mars, other planetary atmospheres: solar-system reciprocal maintenance, in spite of human misbehavin'! Check out the latest from Jupiter and Mars! Analogue to DNA-generated coherent waves: coherent gravitational laser-burst spacetime double-helix pulse, not dissipated into a probability fog if Lukasiewicz logics interpret Schrödinger wave-function instead of probability amplitudes. Just try to put your RECONSAT on that clean wind-type energy source without precise prediction of tornado touchdown! All scale levels :: nebular, even :: the DNA nebula. Double-helical feeder bands to comets and galaxies: been photographed since the early-1950s. And just imagine if something like this had been explicated at a Velikovsky conference over thirty years ago relative to the universal nature of discharge phenomena and Jupiter's giant red-spot cyclone/typhoon/hurricane, which, in extremum, could have led to a mass ejection (talk about butterfly-wing flaps! why, anyone who has ever squeezed a pimple!), what the effect on, say, a Carl Sagan might have been. Literally: off-the-noggin! hysteria. I, for one, have always felt the science developed over “conversion/displacement”, however complex the maths, is the real pseudoscience. Who, then, should be hauled into Science Court? Can't find the Chalice? Then Igraine gots her MYgraine. You think there will be no blowback upon planet Earth? Oh, the rambustious louche of those rambunctious survivalists whose Ramist faith in survivability betrays a ramiform reductionism equivalent to the rampike nescience of type-A scientist-dismissors! Put your rambler heart in your too-big mouth, for God's sake. It's the very least you can do… How better make verbal display of utter contempt? You know, please let me know.

Well, wash my mouth out with soap! Far be it from me to GET ANGRY after all these years and all the… Douglas A. Paine and Michael L. Kaplan are both still alive. How many more years do you think that will remain the case?

All of this stuff is one thing, of a piece, a synergistic superintegrated holistic pathological syndrome: Worlds in Collision; to probability amplitudes; to promulgation of a classical limit; to Mankind in Amnesia; to national insurgencies and global insurgencies; to notional CI and gloating CI; to climate change on Earth, Jupiter and Mars; to Wilhelmian Monism's transit to democratic global monoculture impositions in lieu of, and compensating for, inability to establish positions with certainty (an issue codifiable as “to be simply-bombable or not to be simply-bombable, that is the question”) in a scale-relativistic one-and-only universe subject to a spatial nonlocality derivative of operator-time's demergence to memetime. And so on and so on and so on. There is no aspect not super-mirrored into other aspects. Another term for “super-mirroring” is self-reference. Another is self-reentry. Another is George Soros' “reflexivity”. And the “science” of this OVERdetermination by projective-identification in collective transference is subsumed to Lukasiewicz logics. For most of 20,000 years precursor behaviors to this were benign: little in the way of concrete incursions upon natural processes. No more with the benign. When the absolutely implausible is taken for the only reasonable, and adherence to this implausible is viewed by virtually the whole human corpus as a mark of sanity… My next incarnation, I'm volunteering to be a virus. Reincarnating as a human, even if one were so inclined, might no longer even be an option -- there being so few of them left, and therefore so few empty slots, SRO awaiting that Briefing for a Descent into Hell will have become interminable.

I remember the exact instant in 1968 I said it. Being waved through a security checkpoint on the outskirts of Saigon, I turned to the intelligence officer to my left in the jeep's passenger seat (VNAF vehicle, made in Japan) and said, “A time will come when internal travel visas will be required for movement in America.” He laughed, thought I was joking; but I was serious. Forty years later, we're almost there. No real cusp events yet. They'll be here soon enough. No government anywhere will EVER do anything intelligent relative to the current global situation. It is impossible they could do so. It would not be permitted, not be tolerated. Even public registration of the actual reality will not be permitted, tolerated -- by most everyone. What governments can do, and are doing a fine job of, is preparing the way to holocaust of the WholeEarth. Survival rate as low as ten-percent, cusp events spread over a decade or so. Well-gotten, as distinct from ill-gotten, is a question of de jure versus de facto in regards to the system ideologically embraced. As circumstances change, environmental and otherwise, these distinctions change. So, not only are those best positioned to act intelligently in the present global situation those least likely to do so, who is to say whether their access to discretionary funds was well-gotten or ill-gotten vis-à-vis systemic considerations? Look as well you can at the hundred most wealthy billionaires. Hard to find ANY evidence of intelligent strategic assessment of the prevailing human equation, planet Earth, current phase transition. By his actions, George Soros stands out, but his assessment is clearly short-term, tactical, draws on only a few aspects of the totality of the situation, and is over-reliant upon ideological commitments to outmoded ideas. There is not an employed atmospheric scientist, for instance, who has not bought into the fiction of a “classical limit” -- that outmoded idea to which the fate of Earth's biosphere has been ideologically committed. Soros does not appear to have looked at this and many other such factors. And he stands out as the best of the bunch!

When it is a matter of life or death, the person who still believes there are rules is likely the dead person. Worry about having broken rules if you remain a live person! The same for nation-states when it is a matter of life or death. When things go to cusp, the only way the USA will survive consequences of having Nixoned -- uh, nixed -- the Bretton-Woods gold-exchange mechanism, without having replaced it with something more adequate, is by calling off the global economy -- not just globalization. All debts cancelled, re: the world's largest debtor nation -- how? USA in receivership? UN trust territory? Worry about broken rules if you remain a live nation-state! They -- WHOEVER they happen to be -- will go for it, as they will see no other viable option. Once having won the next high-intensity global war, then, as the winner, worry about what broken rules mean and what the new rules will be. Having bested enormous military challenges like Haiti, the Dominican Republic, Grenada, Panama, Afghanistan, Iraq, soon Iran -- and having convinced themselves they brought down the Soviet Union -- they will be supremely confident. Manufacturing AQ&A, 101. Of course we do capability analysis, not just power analysis! I heard that at least a thousand times at MACV-HQ. Colin Powell reiterates it in his autobiography (My American Journey, Random House, 1995, p. 438). This is road-mappable, can be put into representation space. Pull up the graphics! Get me some power points! But their notion of capability is the capacity and ability to marshal force-structures -- whereas actual capability analysis is of to what degree, in abstract general cases and concrete particular cases, deployment of the powers of force-structures can accomplish the political, economic, social, psychological, and ecological interests/goals/objectives sought by achievement of successful military operations. Failing that… Set opposed to Mongols: pao chia become the tongs; set opposed to ronin: tonarigumi become the yakuza. Brown Shirts don't wear brown shirts. Gestapo politics goes by other names. A participation-mandatory domestic peace corps as New-Weimar-Hitler youth, nascent Green Shirts. Some gooseneck the downpour, others hightail it to the chicken coup. Anesthetic gas, no laughing matter. Hah-hah-hah! Antipsychotics as security measure: an expression of collective pyschosis. Death by antipsychotic = death by natural causes. Eh, what? What are the RULES of collective psychosis? Been studying on that a long, long memetime. Interrogative muscle-relaxant anesthetic. By mass infusion? Uh, uh… you name one; I won't. Gets rid of lower back syndrome just like that, oral route of entry. Better get the dose right, though. No fiction, any of this. Just ask your heart. There is a rush! Try it some memetime. Of course, if your dentist uses it sublingually, you won't get a chance to question his judgment. And don't have to worry about hairy tongue. Then there is exogenous glutamate flood. A much better bet for mass infusion, eh what. But if you are into Pepto B., then you do have to worry about hairy tongue. When things go to cusp, I can guarantee you, hairy tongue will become a mass phenomenon. What were you doing? And who were you with? CAT fever pales by comparison. You will no longer entertain the fiction that the Moscow Opera House laughing gas thrill was a decoherent incident. Collective psychosis is a nonlocal quantum event. But people like living in world fiction, and, if reality is pointed out to them, they flee into fantasies, fantasies as to their own security. They will be survivors! They will remain live persons! In this Hollywood formula story, you see, it's the bad eggs in the basket, the rotten apples in the agency -- not the government itself; not the very notion of governance -- that produces the dead persons who believed in rules remaining. Nonfiction -- not faction -- is: ten-percent human species survival rate… maybe.

What I would like to see the theory of Sorosian self-referential reflexivity applied to -- over and above boom-bust cycles, be they of the financial, commodity, money markets, or others -- is the seigniorage of a 1T2-logic international reserve currency which is also a vehicle currency. So what, the FED has a trillion dollars in working capital: if it has that many assets, it has approximately the same liabilities, and a net worth not much more than what it sprung for on Bear Sterns. All things considered, small in relation to the US banking system as a whole; smaller yet in relation to the US GDP. But this really tells us nothing about how much in the way of unrecoverables the FED can eat. The Treasury stands behind the FED, and the two together can create bucks to a very large extent, as needed, thus increasing how much unrecoverables can be eaten. Dollars pumped into the domestic economy; dollars pumped into the international economy. Limits on the two are not the same. Domestically, prices are the critical issue. The more international trade denominated in dollars, the more dual-multi-currency national economies involving dollars, the more dollars can be pumped into the international economy. Global inflation is also an issue, but the quantities involved are vastly greater, of course. Devalue the dollar (like in the early-'70s) or revalue another strategic currency relative to the dollar (e.g., the yen, in foundation of the Japanese bubble, which the Japanese tried to “flying geese” to the rest of East Asia, eventually leading to collapse of the baht, and so on) and, not only are there reverberations in many aspects of the global economy, there are also reflexivities set in motion: dollar confidence is highly responsive to such reflexivities. A, B, and C…n's mutual expectations concerning each other's expectations of their expectations of the other's expectations looping on and on, marked to derivatives stepping into derivatives stepping into derivatives -- whether a derivatives market exists explicitly or is outlawed on this or that commodity or all commodities, financials, whatever, and then continues to exist notionally, even more invisibly than the OTC derivatives market, but notional or not, still existing, outlawed or not, still existing -- collectively speaking, for the global economy as a whole, constitute reflexivities which are self-referential (and thereby of the essence of Lukasiewicz logics). The Laffer curve (relative to money-creation seigniorage) really doesn't speak to these sorts of Sorosian reflexivities. Reflexivities are a little bit like time: if people can't think about time (and they can't), they can't think about reflexivities either -- so they rail against George Soros for raising an issue they can't think about. Lah-dee-dah! For one, the issue of whether or not liabilities are denominated in domestic or foreign currency, in this case, is significantly moot, given the vehicle-reserve status and the fact that there are domestic dollars and international dollars, and that the two are created, introduced, circulate, and inflate to a significant degree independently (and there are no classes of dollars placed under deeper national-security classification than certain classes of international dollars defined by certain classes of dollar-introductions). Assessments and expectations as to how well (put x-indices on this) the US sets the global agenda, success of military demonstrations, and so on, reflexively condition international-dollar confidence enormously (less so with respect to domestic dollars), but non-measurably, if not immeasurably. The list of externalities involved in factoring such reflexivities is almost certainly a long one, and I've never seen them (similarly with respect to the Phillips-curve issue relative to, say, 1970s' stagflation) incorporated into an econometric behavior equation or a corrected Laffer curve, or a corrected corrected Laffer curve.

Finally read Naomi Klein's The Shock Doctrine, The Rise of Disaster Capitalism (September, 2007). The only surprise there is her lack of insight into what the actual factors have been giving rise to what she describes, and, hence, her lack of interesting ideas concerning what to do about it.

Those put off by repetition didn't get an inkling on first iteration -- and never will get an inkling. Let them just try to read Maurice Nicoll's Commentaries! The most over and over and over text I ever read over and over and over. Getting hit over and over the head with a feather pillow -- and still, five years later, fourth way through six volumes, getting something new. Realistic paranoia is life-enhancing, but those with that degree of paranoia deserve to experience their expectations. And when whole societies institutionalize in myriad forms such paranoia, the formal algorithms involved bleed into every moment-to-moment countersocial sociality of the socius, such that expectations will indubitably be realized. How can one argue with that outcome?

BREAKBONE FEVER

Yes, Ms Best Gham-Buller
peter Right, I-Catcher:
None/the/less allthesame the
Real logocentric eye-catcher
Whatsoever Old Silly Toes.
Janitorial lifestyle PV(S) LINE-X
List X backgrounders A…D
on polishers by Controllers
Abelian Functors, Special Branch
branch points subsidizing evermore
the don't-condone-it unemployed.

Hearing in camera, no listening
Devices/cameras/recorders allowed.
Don't minute me, Cop of God!
People of Ray-gun/That-her/Tappers
Stalkers/Weeders/Watchers/Listers
Vetters/Liners, says he, observer
Staring into the guardian's daily mirror.

Movement analysis, anything but
Traffic analysis, eh what.
Consumption analysis, humping analysis
(By MoSoSo and GPS superposition RFID).
Wind over candles, dark leaps
Day moons, night suns, MeanKleene guys
Portraits in slipovers, tower strikes.
State-in-decline, state about
To war and lose, the
National-security spy-I state.

If Mi5 is not an imaginary
Fifth column, then, ever
D-ditMASS/hausDORFF-D, CI/SI
Alwaysthemore, what prey tell
Is MisInformation to the quintic?
Dah…dorffinitively D Branch
Scale-relative x, y, z, t, D: fifth column
f of T (transaction); F into T Branch
Cantor-involution/serial institution.

Lessunder, if quaterions can't
Get you into complex infinities
Of the quintic, CIQ
How could bi-quaternions --
And we all know what
“Bi” means, don't we? --
Be sufficient to Mi6
Hawking imaginary time
Or no. Logical constants
Not physical constants, Hah!

To secret! just aint't too secret
For secret-sniffer sleepers in the
Independent's espionage/counter-
Espionage encyclopedia of dirty
Tricks cyclotomically Mh-ing
(Molehunting) wormhole tracks
Beyond the (imaginary) times
Five columns or six, in degrees of
Freedom, covert temporal operators of
The Hidden System, or no.

SAS-SBS-SCS-SDS…STS
Sunday times supplement, inclusive
And conclusive. Mere Puddleplop!
Said Lord Justice Lord
Justifying/signifying tiger-mosquito
Suppression of human instincts.
One of two in the cargo bay
Jumpin' a C-141 just beyond stall
Speed, high-flown above the beach
Crewed by weekend warriors of McGuire.

Ah, the King of Gurk has gone
Into SMIAT-TID/525 MIG --
Or is it all just bad dreamtime?
SMIAT, not SMIU. Special Military
Intelligence Activities, Technical;
Technical Intelligence Detachment;
525th Military Intelligence Group.
No mere Special Military Intelligence Unit.

Perhaps you want to talk about how three
Years prior the last helicopter off the roof --
Long time before the Soviet invasion --
Trust in Arlington spun off Commercial
Credit International and later
Morphed into America First Capital.
No. I didn't think so. Miscarriage of coercion.

Talk about covert revert/invert topological
Operators! Chronotopologic mappings of
Hypercomplex hot-spot numbers based on
Square-root of plus-one, static OP
Over non-selfsame Gödel-numbered
Gödel numbers, dynamic SFOB
Arrayed on the enigmatic “reflector”…
Regge bones, more Allbase MirrorTalk
from The Bone People of Trobriand?

Nutting the supergrasses in your
Hydraulic juicer -- hah-hah-hah! --
Out come the green slime
Strategic failure, executive action
Having been, because dog-fight
Socialities have infiltrated every
Interaction of the socius. Moreover
Their sociopsychosomatic residues
Cannot be scrubbed in several
Generations, no matter how much
Rubbing alcohol judiciously employed.

Wounded knee, race the obstacles
Into red night of the cities
Bury me, yes, bury me amongst
Leaves burning in Patagonia
If on a summer's night, along Oxiana's
Road to blindness, doting upon nothing
Yes? Pleasures exotic, walking the Riddley
Trapped tigers three, his symbols, man.
Mankind, down zany afternoons on a slow
Ganges, to gardens of cement, serial-honor
Debts, exposed by memoirs unreliable.
No roots, no Mamaji, no sunrise flags;
Visitants over crocodile streets, Mars
Outsider hunting Earth's fate, as Alice fell.

Getta glife, or get gowered, everless
Dear Andrew, advocate of the
2-valued finite-iteration machine
R2D2/PNC2/SIS/NCIS-NIX/NADIS/BVD-datsort/
SISY-JUDEX Staatsandwich Exploitation system.
Paranoia and plots, states vigilant, fe da auto:
Efa-do-tua! Efa-do-tua! Efa-do-tua! Efa-do-tua!
BKA-infoARM…Tinkerbelled ratacatchers secret-
Squirreling Copenhagen-interpretation Witch-Bulled
Night-watcher demon-deposited semen on
Darkness' edge. ActionWorld undersight
NCIC-SIOC CLITS/CLETS/CLOTS
Menace bloody, eh what. How differs
From 1936, but by uniformizing technologies?

Sst! Sst! JUST LISTENING IN. Surreptitious Skyway Transcriptions, GSE. Wordsalad conversation surrealistically pulled down by the hypnagogic/hypnopompic state. ELINT! Whatever -- eh, ka, na, ne, nei… n'est ce pas? The worst of it, with few exceptions, being in Booker Prize winners and most things Kakutani favorably reviews, ne. So-so… so-so. Here to live? Here to procreate? Here to accomplish something? My don't believe so. Never did, no. Breakin' back, bonesprain, jerkmuscle. Here to penetrate here, I, why. Nothing my condoned -- being-here in being-placed-here. Yack! The very idea of being sent back again as a human! Can't have no sympathy, then. Well, what'd you expect? Forced t' live ways of life I t'weren't never asked about, under systems never believed in, always knowed were diseased. Huh! Only by inner counterwork, by fugue, can one enter one's own counterpoint, m-logically-valued polyphonic identity. Reckless endangerment! Got no fugue, get no countertime. All bad time in LBJ. Heh-heh-heh. Might as well collect harpsichords from Westphalia, carpets from Bukhara. In a world of scale-relativity, the well-scaled family, investor, investee? Creative accounting became a norm, you yahoo! Substitute memory. Lie for a livin' they do, always done. MDs, IntelExecs, SSS-executors (snatch n' snuff stuff; much easier than S-SAS, snatch n' squirrel away stuff). Close enuf ta both sides t'know. The gluttonous supercultures been the worstest, most glutinous, thing t' this planet, last thousand years! When they have falsified their history so thoroughly, how could they understand what is happening, let alone know what to do? Not an idea on the planet! Put an author in here? Don't be silly, dear. Down the rabbit hole, and what do they find? Why, dead bunnies, of course. The Real Alice, as they say? Soaring With the Dodo? Authenticity in your basic Semiotician, that, eh what! Ra Bit. Rambit. I don't database my RAMbits, let alone my cache-its, ra. Not if I can up look it. Sheeit, clogs the whatsits, the qubits, mu-its, CTC-iuums. But you… you just, well… I never! A wee-wau that grinds smoke. It's not that, Pollyanna, no it's not like that, it just ain't. Dumb-da dumb-dumb! You're scarin' me. Gutlazied you, boy waddler! Unctuously, I suppose. Humph! MOONwater pickings pulled by oxen of the Sun. Ain't been done t' science afore. Once the whole historiography has been deconstructed and reconstructed -- nude descending, J. J. rising -- what's the use of doing it again and again, once more? One cloudy atlas, yet? Style lifted out of content set against form and its import. The great escape touted as… Booker Prize, o'course! Career and money. Jus' like Aunt Julia, scriptwriter you. Doing this, all that is not done! Yes, and The Fate of the Earth hangs upon… Jonathan apples and sea shells. You perseverator, you. Yeah, and you like echolalia, I bet. O, how Alice Fell, Emmayou. Boy, Stow the Visitants, please, they've got your fist and your handle.

Been saying that since 1968, being a process analyst: i.e., “A Dynamical Analysis of VC Strategy, Tactics and Intentions” (The Moon of Hoa Binh, Vol. 2, pp. 2-34). Not the graph of the function, the march of the graph. People don't get it, won't get it, never will, and they will die under it, not getting it. Laugh your progeny into the grave! You don't have to look at multivalent role attributions in the VCI or AQ&A to see a Riemann surface in motion: look at segmentary Line/AGE in Special Branch, Interpol, Europol… Which is not altogether to neglect symbolic interactionism. Walkin' right into another Little Big Horn, you are, renormalized to the global scale! For instance, to liaise is to “bridge” between functional “branes”, branches, elements. “Functionalism/structural-functionalism” (mere Witchcraft, Oracles, and Magic to so many) in anthropology initially became subject to discreditation operations just as Special Branch underwent (WWI-WWII) massive organizational vamping, globally. Of course, Special Branch, and the like, organimorphic mapping(s) over Riemann surface are nowhere near so elaborate as was that of the VCI or is that of AQ&A -- and are, therefore, more regressive expressions of suppression of the multivalue, which the Riemann surface codifies as march of n-dimensional graph. Introjection of the transferred collective projective-identifications to organizational poiesis is the actual means by which human institutional formats are brought up -- later sustained by prescriptive enculturation somaticized by glutamatergic neuronal etching and associated effects upon intraneuronal DNA. But this process -- mathematics to sociopathic “social” institutions -- also runs in retrograde -- social institutions to corrupted mathematics -- and even in retrograde inversion -- the corrupted mathematics expressing as scientific experiment replicating socialization of cognition: all of this self-referential reflexivity concretized in subject/(physical)object projection as uniformizing technologies (including the technologies of experimentation: supercollider, indeed!). What is suppressed -- in its logical, ontological, chronological, psychological, sociological, sexological, econometrological… dimensions -- is the multivalue. Apparently, Lukasiewicz understood a good bit of this as early as 1906, in immediate wake of Planck's famous paper of 1900 and Einstein's of 1905. So, tell me how these reflexive convolutions will, this late into human survival, be untangled on a sufficiently timely basis to de-school, un-pharma, rid the medical nemesis, and rollback climate shift, myriad other globalized malfactories, and prevent high-intensity planetary war. Something is rotten in… uh… To be in being-in-itself is to establish habitus in (Taoism = animism) non-doing (which is not “doing nothing”) -- a subtlety Hamlet missed. Missed by many others also, it seems clear, judging from prevailing malefic condition of civilities covering nature's surface: not exactly convivial, the tools employed over the last five-hundred years. This is a trashed planet. Wherever you are, walk out the door and open your eyes. No matter how lucky you are, how pristine your view, what you see is trashed compared to what it looked like a mere five-hundred years ago. Not too likely a decade of conviviality could overcome consequences of all that.

Can't agree. Simply too simple. The state acting arbitrarily, as it pleases, in Orwellian fashion, one big animal farm is the settled hypostasis, the quintessential example, of the 1T2-logic fallacy of misplaced concreteness, hypostatization, reification: nation-state is (actually) exteriorization by projective-identification in transference. Members of animal house act arbitrarily for their own personal purposes/neuroses/psychoses, the corpus of such acts summing to a holographic chimera outside the visible spectrum, which, by self-referential reflexivities, constellates collective-unconscious archetypal behavioral gradients, which, in turn, by introjective counter-transference, govern arbitrary acts of the members of animal house -- details of this whole self-reentrant process being analogically modeled in the forms taken by institutions and their algorithms, which, by prescriptive enculturation, accordingly, glutamatergically etch brains of members of animal house. So long as human brains are etched of their innate capabilities for conscious registration of m-logically-valued processing, there will be nature rape and all derivative rapes.

I am not saying anything different than I said forty years ago, circa my twenty-third birthday, Saigon, RVN. Chicken or egg, whether the insurgent or the counter-insurgent came first, is by now largely irrelevant to the issue of infrastructure ELABORATION: though there obviously is some mutual positive-negative feedback, counter-insurgent infrastructural elaboration drives insurgent infrastructural elaboration, not vice versa (hence the insurgent need to “scam” or “sting” the counter-insurgent, if insurgent infrastructural elaboration is to be elaborated). Incidence of insurgent military activity is primarily a function of organizational-phase-transition need; no present need for such phase transition, then low incidence of military activity (though, of course, a tonic baseline must be maintained, otherwise phasic activation will not be forthcoming when needed). Both sides want their acts classified “acts of God” -- and the insurance companies have largely complied with these wishes. Like it or not is not really the issue; no counter-insurgent likes the fact that a focus upon preventing discrete acts precludes long-term success. I have no doubt that black ops in Iraq will be as successful as the Phoenix Program was in Viet Nam (same program really, don't be artificially partitioning world history, even if SAS was not much involved and Delta didn't yet exist), though, since one component of the targeted is transnational, the blowback may not come in Iraq, like it did in Viet Nam: for every one what takes a tap, nine Gorgons pop up (given that it takes the efforts of -- countin' ever'body now -- thirty or so non-combatants to keep one combatant in effective motion). So this fact is swept into the subliminal, from which it governs the emotional reactions setting policy-formulation agendas. We -- that is “we” as introjection of divine mandate “granted” by personification at projective-identification -- WILL provide you with the pseudosecurity guaranteed under the Rights of Man! (granted by divine mandate, thus exemplifying Lukasiewiczian-Sorosian self-referential reflexivity). Public declarations of commitment as unbeknownst subliminal strategy formulation. Then information is sought to substantiate utility of the strategy emotionally chosen by subliminal drivers. Emotional reaction -- to events challenging the introjection, a false existential claim as regards identity under 1T2-valued logic -- as strategy; substantiating -- selected -- information made “the facts” in support of the “strategy”. Public discourse on issues related, even by CT experts, comes somewhere from out of preschool: the actual variables are never mentioned because they are never studied, and hence methods never really change except insofar as more techy stuff is added to the arsenal. Why? Because IT MUST BE, ABSOLUTELY MUST BE that terrorism is the corpus of discrete violent acts perpetrated by conspiring individuals, politically-motivated crimes. How does the policymaker know? Because the legal system tells him so. And since this individualistic understanding just MUST BE, it determines strategy and methods. Terrorism could not be collective behaviors of a process self-organizing in a pathological environment (hence, taking out individuals, even the whole deck of cards, does not stop the terrorism), much less ASPECTS of the universal grammar of a Chomsky-Wittgenstein generative language-game going from being to becoming in a pathological environment (hence, denying macromedia access does not quench terrorism). Collective occasions of experience simply don't exist, you see, despite Bose-Einstein condensates, Everett relative-state, animistic-pagan identity transparency, all the rest. The very presence of the phenomenon itself is the most terrifying existential denial… well, worse than witchery, sorcery, group sex… public group sex! Hammer of Witches… uh, uh, using a Cartesian-Newtonian hammer to nail down (the identity and location) of phenomena exhibiting quantum properties: Great Strategy! eh what. This is an “objective” issue, aetiology and pathogenesis, general-systems degenerative disease, though an issue massively propagandized. Counter-insurgent infrastructure building as regards the present conflict-regime goes back at least to the medieval Inquisition, was an integral aspect of the rise of the Cartesian-Newtonian-Westphalian nation-state, and has grown by fevered saddleback fulminations ever since. Artificially fragmenting this course of disease into discrete occasions marked off -- end of this war, and so on -- plus compacting encounters to battles, battles to wars, makes declaring victory by change of definitions oh so very easy! Late Middle Ages, early-Renaissance, birth of Science, gestation of the modern State in linear-perspective was a period of unparalleled efflorescence of every kind of glamour, mysticism, cultism, occultism, Gnosticism, heresy, Orientalism, Levantine pederasty, Witchery, magus-mundus/anima-mundi, pagan resurgence: (largely feminine in signifying notions of reference) threat to the majority of MMoG(maGoG), Moral Men of God (mothered as Golem over Golconda). Gibson onions. Ugh! Back-formation: gloaming. Gland of internal secretion; gland of external secretion. A get-down at this and that Gethsemane. Science emerged out of this psychosociosexology (don't forget Worringer's Abstaction and Empathy and the slit experiment following soon thereafter) by projective counter-transference, and the associational obsessive fixation upon internal pseudosecurity demerged by introjective transference, a transference the very existence of which required a “transference figure” be constellated (the “other” as repository, as hypostasis, of the regressed “libido” -- i.e., actually quantum relative-state/quantum-potential, in this case regressed/compromised, compacted/flattened -- symbiotically, syzygially cathexed). Git dat gallinipper afore 'e gits 'ou! In the present conflict-regime, Science and Surgency are inseparable (as are their transferences and counters). Ta counter-'em is ta count'em! Give tongue to the gun! my son. O, machinin' dat butterfly trigger! Ever done that? Any experimental substantiation of essential violations of Cartesian-Newtonian-Westphalian line-AGE Grundgestalt (e.g., the Aspect experiments) elicits de novo counter-insurgent infrastructural elaborations, re: “internal” pseudosecurity, which, in turn, demands the corpus of insurgent transference figures to “sting” the counter-insurgents in such fashion as to materialize counter-insurgent facilitation of insurgent infrastructure elaboration (you've got to delve into the details of autopoiesis to really get this: The Moon of Hoa Binh recommended as introductory). Forms-in-elaboration in each case are mirrors, one to the other. Counter-insurgent obsession with pseudosecurity and its forms-in-elaboration bled into every bleeding moment-to-moment interaction of the socius (as back-reaction to the Aspect experiments, and the like) absolutely insure self-destruction of the institutionalization of the Cartesian-Newtonian/Lockean-Anglosaxon paradigm as Westphalian nation-state system. But, since the elaborating infrastructure of pseudosecurity bleeds back, not only upon concrete and symbolic interactionisms of the socius, but also upon the perceived prerequisites, requisites, and practicum of worldview-constructing mentations, prescriptive enculturations, coercive acculturations, volatility of the context is grossly neglected, as the notion of nature becomes a cultural lag. Hence, a trashed planet -- regardless of the increasing privatization of vetting (and internal pseudosecurity enforcement). There are prohomeostatic forms and anti-homeostatic forms, so medically to speak. Severe storms, for instance, are antihomeostaic not from the planetary/solar-system standpoint, only that human-myopic. Back during the late-1960s and early-1970s (before I became involved), cascade-theoretic numerical forecast modeling of severe storm genesis (Douglas A. Paine and Michael L. Kaplan), particularly onset of tornado outbreaks, revealed that every microvortex creates (with radiated acoustically-modified gravity-wave modes) a deep stack (i.e., m-valued) of information signatures in embedding domains (acoustic analogue to black hole computer), wherein the initial temperature perturbation is recorded in what came to be designated as coupled or entangled LSTDs (limited spacetime domains), an insight into prohomeostatics by dynamical adaptation (topological geometrodynamics of theta-e surface manifolds: such constant-entropy surfaces being two orders of abstraction removed into hypertemperature from the kind of temperature measured by thermometers) of weather-climate regime, planet Earth -- in principle relevant to the risk, money, and commodity markets -- still not assimilated by consensus atmospheric science, this year of record-breaking tornadogenic death and destruction. The formal (not statistical: forget so-so-very on-the-concrete-surface “movement analysis”, et cetera) correlates of this microvortex infomatics, as regards regressed analogue, anti-homeostatic out-breaks, death and destruction, low-intensity warfare planetary march, are elaborate. And that there are such correlates is, indeed, one major message of the medium.

Dual-price, dual-track economies (like that of contemporary China), with coexistence of both plan prices (perhaps also an MRP, maybe also subsidized price on oil, for instance) and market-determined prices (FPP, actualized retail price, variants on these from locale to locale within a given national economy and across legal-tender boundaries, in so far as they exist, and so on) have, heuristically speaking, nothing whatsoever in common with economies employing m-logically-valued monetary units (tacitly -- such as utilized on a primitive level by the VCI during the American period of the Viet Nam war -- or explicitly implemented, were such implementation ever to be carried out). Nor am I speaking of dual-currency or multi-currency economies, e.g., those dollarized and/or bahtized, where the local national currency and one or more other national currency(ies), say greenback dollars, are accepted for any and every transaction -- which, of course, is not the same as an economy, value of the currency of which is, pegged to the dollar by band or some other algorithm. Nor by dual price do I mean separate prices for locals and foreigners (one way to insure future subtle destruction of your national currency by largely invisible and deniable means -- given the huge reservoir of ill-will generated on a moment-to-moment basis of daily economic intercourse, even as regards the smallest of things: might as well throw foreign businessmen into jail under the charge of lese majeste or defiling principles of communist dogma). Instead of thinking for themselves and creating something like multivalent monetary processes when they had the opportunity, Chinese party people opted for the worst of both worlds (considering the nature of the Tai-Chi symbol, maybe this was inevitable) -- giving no consideration to the possibility there are more than two worlds. On a planet beating its head against a wall of entropy, growth rates like those of China are a chasing after national suicide, at the very least. Dual-track economies plan everything that shouldn't be planned, and don't plan properly anything that should be. Just look at building practices, for one instance, and the consequent built environment: forfeited science of ekistics. There is no integral mechanism for action directives generated in one track -- whichever of them -- to be assimilated by the other. The two tracks beat against each other, insuring creation of a bigger mess than either track alone would have created. Moreover, it remains to be seen whether or not the mess created, both domestically and internationally, will actually permit the plan track to be substantially assimilated by the market track, or whether internal dissention (is either contemporary Little China or future tributary Greater China any more an optimum currency area than the EU is not?) and/or external warfare will prevent that assimilation. Though it remains to be seen, how much question is there, really?

I am not really a morbid guy. Everyday, I am laughing and laughing, there is so much to laugh at you can see everyday if you look, no matter where you might be located on this planet. With enough self-discipline, one can choose to view collective self-destruction as entertainment, as laughing matter. In my case, learning of that self-discipline, the making of that choice -- Hah-hah-hah! -- came during 1968 in Saigon watching the particular case of collective self-destruction I quit college to go over there to see. If you doubt I quit college for that purpose, had the foreknowledge, then I recommend the entries in “Derek's Journals” (reproduced in our novel The Moon of Hoa Binh) written during 1963-4 upon reading and re-reading of C. G. Jung's Modern Man in Search of a Soul (required reading for the freshman “Intro to World Politics” course at AU's SIS during that period).

Cut gasoline subsidies to the world's most impoverished -- most impoverished by militarily-imposed structure of the global system -- so the world's wealthiest can continue, by PPPU (purchasing power parity unit) calculation, to have the planet's cheapest access to the substance: a pristine prefiguration as to how every aspect of “the gathering storm” will be handled (this handling, in turn, prefiguring…). What you are seeing now, in my judgment, as I have long forecast, is very early stages of oscillation of this and that commodity into non-commodity status. Oil, I have said, by one example only, the most obvious example, will, by waveformed staged entry, cease being a commodity; it will become a controlled substance, along with many of its subsubstances -- sentence of death for possession of it. Strategic military resource/necessity, no longer tradable commodity. Sentence of death executed by high-energy laser-loaded Global Hawk on microwaved DNA signature/fingerprint read by satellite: The End of Violence in absolute threat. The microwave frequency of transmission to Global Hawk, ironically, perhaps, undoubtedly being in the frequency-response window of the particular DNA signature/fingerprint in death-sentence question. No dystopia yet described has been remotely so totalistic as the one which is most likely actually to emerge. WWII totalitarianisms were simply the junior varsity encounter before the main event. PPO or PPP or PPU (post-peak oil or post-peak platinum or post-peak uranium) or and or and on and on to more and more or's do not require actual peaking for snapping, panicking, hoarding… We are in early stages of oscillatory ingress upon all-out planetary high-intensity warfare (arguments over oil resource nationalism public prep on the road to serial incident fabrication for justification of total mobilization): economic analogue to the autogenic feedback loop and cycle of terminal-phase onset of general degenerative systemic disease, civilization, human species, planet Earth (or so it has been loaded into the Cosmic Table of Organization and Equipment). Egress, or possible egress, however improbable, is the issue to which m-logically-valued monetary units address themselves.

Just think about how many (quantum) physicists specialized in nonlinear (Newtonian) dynamics are absolutely committed, not only in their daily lives, but also in cognitive-conceptual terms, to a linear codification of reality (simultaneously binary AND [ha-ha-ha] phase-digit/q-bit), if, that is, you want some real impression of what is and what is not possible to the human species at this planetary conjuncture. There will be no efficacious action, none. No one with the resources to undertake anything significant will actually break with the crowd -- only pretensions thereto. The odds against it are overwhelming. And the prevailing institutional base, wherever on the planet it happens to be, is party and product to the… what? Call it “conundrum”? Hah! Quantum physics as it is, even as it is extended by the fringe into all manner of the paranormal, does not interest me. Why? Because I regard it as utter dissembling ever since Born's 1926 probability amplitude dissimulation (whatever the particular interpretation within the probabilistic rubric). These inordinate uglies are nothing but Ptolemaic epicycles, exactly parallel to those of the poststructuralist deconstructionism these physicists have so disparagingly disparaged. And these so-called sensitive “soft physicists”, who are very, very into the nonlinear, regard a linear worldview construct as superior to that nonlinear (the nonlinear incorporating the linear as a special case; while the linear in no way incorporates the nonlinear). Who once authentically possessed a nonlinear worldview construct? Not modern man! Anthropologist Dorothy Lee (“Codifications of Reality: Lineal and Nonlineal”, first published during the 1950s, reprinted in Robert E. Ornstein, ed., The Nature of Human Consciousness, Viking 1973) showed that the language of the Trobriand Islanders reveals no indication of presence of the notion of linear time. Nonlineal notions of pure pattern were the basis of the worldview construct. Which positivistic experiential codification is necessarily more all encompassing: that of the Trobrianders or that of modern man? Not modern man! For a more recent illustration of nonlineal organization of experience, I recommend the New Zealand Maori perspectives pulled together by Keri Hulme in her novel The Bone People (Hodder and Stoughton, 1985). Last and first men; first and last men: people of the bone. If ten-percent survive, who do you think will predominate amongst that ten-percent?

Is the US of A an optimum currency area? It certainly has been a currency area ever since the greenback dollar edged out all the other currencies -- local currencies, private currencies, regional currencies, specialized currencies. Well, “edged out” may not be the proper characterization. But has it ever been an optimum area? Throughout American history there have always been lots and lots of people who have thought the answer is no, one of the earlier detractors being visible in import of Thomas Jefferson's debating points with Alexander Hamilton, regards question of the national debt and implications concerning mankind's mandate, grant of residency visa, planet Earth. Optimum for what? For Hamiltonian “exploitation” (nicer word than “rape”) of a great continent, a great planet, these financial times; or for bucolic Jeffersonian, hippie-dippy-yippie utopian, virgin land, new society, free-rider, she/her sexploitation, um-uh… O, the horror, the horror… speaking concretely, not metapsychologically, now, is there any greater “cause” (insofar as there are causes in this complexus of probability amplitudes) of mass-murder warfare, genocide, holocaust, reconnaissance by collective rape, surveillance by public torture than suppression of adolescent sexuality? One of the most highly-correlated factors to massification unto megawar (the greater the destructive capabilities of MANunkind, the later in life “society” has granted its sex condonence to WOmankind… even last generation in [by self-defense, I won't name the myriad cultures involved] villages, an uncommitted thirteen-year-old was considered an ugly old maid). But maybe there is a Jeffersonian “reason” for this time-evolutionary deferral (which is, metapsychologically and somatically speaking, a decimation by glutamatergic neuronal etching of access to conscious registration of quantum relative-state identity-transparency during the critical learning window -- like that window for learning, amongst little cheepers, birdsong or how to read the star map: don't learn it in the critical window, never will learn it: what greater guarantor of war-making capacity by huMANS than suppressive supercession of adolescent sexuality?) -- given that, by reason of the actions of Hamiltonian cohort, we are four-billion over Jeffersonian ecologically-balanced carrying capacity, planet Earth. Optimum by what? Cartesian-Newtonian-Wesphalian Staatsanwaltliches Umwelt? And what else was there? Annie, get the gun! And who got the most guns, the biggest guns? Shot down an intercontinental ballistic missile, did ya? Of course it's an optimum currency area! What did you think, eh? Binary-mind 1T2-logic either/or -- either Laffered supply-side trickledown, or no.

The wins policymakers think they have had over the past 150 years have not been wins, only suppressions, subductions to the marrow, there to fester, there to metastasize -- each time coming back more virulent. No matter of speculation: look at it, 1860-today. The issues involved have been invariant from one occasion to the next -- only on the surface has there been the appearance of differential causation, the very notion of historical causation, billiard ball to billiard ball, bang! bang! bang! being part of the governing mindset. Bang-bang-bang! Savam-savam! Savak-savak! Blow-back boomerang as E Branch echo. EeeCGaaD! The set of mind responsible has become ever more set with each banging repetition: same views, same assessments, same answers, same methods -- the only change has been to increase the mayhem. This side, that side; so what: the same side. This occasion, that occasion, the occasion yet to come: same occasion. Tiger turning to butter just beneath the flame. Betting against this turn, turn, turn continuing another turn is really to take the longest of odds: ~6.0 of 6.6 billion, to it everyday devote themselves. $45 trillion or 1.1 percent of global GDP is going to solve global warming, folks! Ever-body now, altogether, one-two-three, take a 1.1 percent hit on your conspicuous consumption. That'll do it! Hah-hah-hah. ((Several weeks following this posting I've seen the estimate jumped to $100 trillion to completely Gore the planet. Quite an overrun in less than a month!)) And how much is solving global warming going to resolve climate-shift dynamics, eh what? And how you going to stop the turn, turn, turn on megakill long enough to figure out answer to that? You what/who have been collywobbled into believing greenhouse warming = climate-shift dynamics. Never been into meteorological paradigm-conflict issues: dat's whatsya call a POLICYMAKER. Never actually debated, never will be: don't waste a ponder upon it. Enuf is enuf. Won't get me into a discussion of prevention; most murderous talk there is these days. Truly entertaining; yes, entertaining. Gottsta have a sell-hook 'n handle. PPPP: pseudo-prevention precludes preparation. Can't live any place we lived before, it's so oppressive to see what it has become. Gunna sit here in this great little village and have a good laugh. Yessiree! Still be sittin' however long a comin', if only ashes to ashes.

But where is the Cartesian-Newtonian account of HOW, repeat HOW, a Gored planet and completely carbon-neutral human species in ten years or twenty years will stop a far-from-equilibrium global atmospheric phase transition once it has reached the stage of coupling to other Earth systems, say, the oceanic system and its ice-shelves, having thus become autocatalytic? Even under the unlikely assumption that carbon-modulation of GHG-content and frequency-response characteristics of the global atmosphere was the sole responsible agent for greenhouse warming and greenhousing was the sole responsible agent for the ongoing climate-shift dynamic, how would going neutral on carbon stop or even significantly dampen a far-from-equilibrium phase transition gone autocatalytic by extrasystemic forcing? Good girl gone wild snapping back to the fold? Who, or what institution, has provided the closed-system Cartesian-Newtonian/“classical-limit” chastity-belt account or the open-systems promiscuous Prigogine-theoretic account of this? I can't find reference to either of those accounts anywhere on the internet. How does changing the cause-agent (even in the unlikely event it were singular) stop the autocatalysis by daisy-chain-coupled other-agents? Is this daisy-chaining a mere matter of classical sixty-nine feedbacking, or are there quantum-analogue non-simple identities involved? And they can't even explain how zig-zag-cascade lightning plasma-discharge generates X-rays at temperatures too cold for X-ray generation! Let alone how cold cosmic vaginas, e.g., tornadoes, hose high-energy discharges in laser bursts from their vicious mouths! Such tongues! Makes you think there might be something about the very nature of temperature they don't understand, eh? I mean about electron-temperature enhancements, for instance, like in anthropogenic hot-aurora StarWars-shield component and ground-based/space-based X-ray lasers. A kind of temperature that doesn't fit the classical-limit notion of temperature employed in climate models, for instance. You think the severe-storm and general-circulation climate models are being held hostage to… what? You think temperature, the very nature of temperature, has something to do with phased-array? Schrödinger-superposed by temporal curl, you say? M-logically-valued? Quantum computing by black hole acoustic analogue in what? Where? Well, I'll be Hawkinged! What was it about “The Universal Nature of Discharge Phenomena” paper (Cornell specialist in tornado genesis, Douglas A. Paine, early-1970s, application of zig-zag-cascade theory -- focusing upon the critical state-point-singularity of the zig and of the zag -- presented to the last major Velikovsky conference) that made Carl Sagan go ballistic? And that paper following upon “Atmospheric Comets and the Nature of Light”. What a paper! Decades before others discovered that light travels faster than light = persona non grata with NSF. Was it Velikovsky stuff and red acoustic analogue (hurricane) on Jupiter or was it the enormous lead the red Soviets had in phased-array -- virtually blanketing the USSR -- that drove things into the Saganic? Was there a real reason why Michael L. Kaplan's cascade-theory computer model of tornado genesis got dumped off of NASA's mainframes? Let's ask Dr. Jason. He'll know. It's one heck of a lot more complicated than people who have never been into meteorological paradigm-conflict issues (including most meteorologists) think it is, all this shift dynamics. Twist and shout! at gravitational collapse. CCCC = Collapse of Communism, Capitalism, Climate.

No, no, to the contrary -- despite my not having the education to qualify for a long-term visa in most Third World countries and this place being another “no place for walking meditation” -- the time has clearly come to get offline altogether, go ColdTurkey on this stuff, WhiteNoise it out, never look back. In virtually the same breath, so and so dies in jail for decades of resolute refusal to authenticate fakes and so and so -- like so many others -- receives a Section 8, PTSD, 100 % disability for resolutely faking mental state. Enough is enough. Collective karma is collective karma. No queries; no responses. Henceforth, my focus is absolutely elsewhere, which for me means in-here.

Photo by Nguyen Huu Anh Tuan


Contact the page editor

Return to:
•Top
•Homepage
1